Главбух - форум бухгалтеров, бухгалтерский форум про налоговый учет ОСНО, УСНО, ЕНВД, форум 1С.


Вернуться   Главбух форум бухгалтеров, бухгалтерский форум Главбух по налогам, учету, 1С. > Налогообложение и бухгалтерский учет > Бюджетный учет > Государственные закупки и иные тендеры


Закрытая тема
 
Опции темы Поиск в этой теме Опции просмотра
Старый 15.05.2015, 11:15   #41
Азазелька
 
Аватар для Таинственная Незнакомка
 
Регистрация: 30.04.2010
Адрес: на реке Стикс
Возраст: 46
Сообщений: 36,292
Спасибо: 3,983
Отправить сообщение для Таинственная Незнакомка с помощью ICQ
По умолчанию Re: Путеводитель по госзакупкам

Кто может работать по Закону № 223-ФЗ

Закон № 223-ФЗ применяется:
-при закупках за счет грантов, полученных безвозмездно и безвозвратно (если грантодателем не установлено иное) от граждан и организаций, а также из бюджета по итогам конкурса;
-в рамках контракта, исполнителем которого является само бюджетное учреждение;
-при закупках за счет средств от иной деятельности, приносящей доход (за исключением средств ОМС).

При этом к доходам от иной деятельности относятся все поступления, за исключением грантов, средств, полученных на оказание и оплату медицинской помощи по ОМС, а также субсидий, предоставленных из бюджетной системы России (письмо Минэкономразвития России от 11 сентября 2013 г. № Д 28и-1045).

По общему правилу, для того чтобы воспользоваться своим правом, учреждению нужно разработать положение о закупке, утвердить его у учредителя и разместить до начала года на официальном сайте (www.zakupki.gov.ru).

Важно! Принятое учреждением решение о проведении закупок в соответствии с разработанным положением нельзя изменить в текущем году.

Порядок, установленный Законом № 223-ФЗ, не применяется для случаев:
-закупок в соответствии с Законом № 44-ФЗ;
-купли-продажи ценных бумаг, валютных ценностей, драгоценных металлов;
-заключения договоров, являющихся производными финансовыми инструментами (кроме договоров, которые заключаются вне сферы биржевой торговли и предусматривают поставки товаров);
-закупок в области военно-технического сотрудничества;
-закупок в рамках международных договоров, которые предусматривают другой порядок определения поставщиков (исполнителей);
-заключения и исполнения договоров об электроэнергетике, которые являются обязательными для субъектов оптового рынка — участников обращения электрической энергии и (или) мощности.

Об этом сказано в части 4 статьи 1 Закона № 223-ФЗ, а о субсидиях на капвложения разъяснено в письме Минфина России от 21 марта 2014 г. № 02-02-09/12591.

Преимущества закона 223-ФЗ
Закон № 223-ФЗ обладает определенными преимуществами перед Законом о контрактной системе. Несмотря на определенную формализацию закупочного процесса, Закон № 223-ФЗ позволяет бюджетным учреждениям оставаться конкурентоспособными, не парализовать свою деятельность и оправдать трудозатраты, которые могут возникнуть в связи с применением двойного режима закупок.

К таким преимуществам относятся:

1.Гибкое планирование. Планирование по общему правилу осуществляется только на один год, обосновывать закупки не требуется, план может быть изменен в любой момент и по любой причине.
2.Можно закупать продукцию с указанием в техническом задании конкретных объектов промышленной собственности (в частности, товарных знаков без добавления слов «или эквивалент»).
3.Медицинские организации могут закупать лекарственные средства по их торговым наименованиям, а не по международному непатентованному наименованию (МНН).
4.Не требуется обосновывать начальную (максимальную) цену договора.
5.Можно установить квалификационные требования к участникам закупок, исключить среди потенциальных поставщиков недобросовестные организации.
6.Можно разработать свою систему способов закупок и случаи применения каждого из них.
7.Заказчик сам устанавливает критерии и порядок оценки и сопоставления заявок, в том числе может установить значимость критерия «качество и квалификация» выше значимости критерия «цена».
8.Можно ввести в число оснований закупки у единственного поставщика исключенные из Закона о контрактной системе случаи закупки. Например, когда конкурентные способы закупки экономически нецелесообразны.
9.По Закону № 223-ФЗ можно вносить изменения в заключенный с победителем договор: продлить сроки, увеличить цену, изменить объем и т. д.
Итак, получается, что закон о контрактной системе очень жесткий, процедурный, с большим количеством ограничений (например, в нем указан максимальный объем по запросу котировок в процентном соотношении и т. д.).

Закон № 223-ФЗ гораздо более лояльный, его называют рамочным, поскольку он устанавливает только общие требования к закупочной деятельности и основные принципы работы, включая возможность проводить закупки в соответствии с Положением о закупках, все пункты которого учреждения прописывают самостоятельно.
__________________
Хотя и сладостен азарт по сразу двум идти дорогам, нельзя одной колодой карт играть и с дьяволом и с богом!
Таинственная Незнакомка вне форума  
Сказали спасибо:
Барсучок* (15.05.2015), КЕЕ (16.06.2015), Лара Крофт (16.05.2015)
Старый 15.05.2015, 11:24   #42
Азазелька
 
Аватар для Таинственная Незнакомка
 
Регистрация: 30.04.2010
Адрес: на реке Стикс
Возраст: 46
Сообщений: 36,292
Спасибо: 3,983
Отправить сообщение для Таинственная Незнакомка с помощью ICQ
По умолчанию Re: Путеводитель по госзакупкам

Положение о закупке
Для того чтобы проводить закупки по Закону № 223-ФЗ, должен быть выполнен ряд условий.

Так, для начала необходимо разработать и разместить на официальном сайте закупок:

Положение о закупке;
План закупок товаров (приобретения работ, услуг).
Такой порядок следует из части 2 статьи 2, части 2 статьи 4 Закона № 223-ФЗ.

В положении о закупке — основополагающем документе заказчика могут быть предусмотрены иные (помимо конкурса или аукциона) способы закупки. Поэтому в данном документе необходимо установить порядок закупки указанными способами.

Заказчик — бюджетное учреждение, которое при закупках руководствуется Законом № 223-ФЗ, может использовать нижеприведенные положения (или отдельные способы закупок из них) при разработке своего положения о закупке независимо от региона, в котором учреждение находится

Утверждает положение о закупке руководитель или иное лицо, имеющее право действовать от имени учреждения в силу прямого указания на это в уставе либо доверенности.

В Положении о закупке нужно установить порядок заключения и исполнения договоров, а также требования к содержанию договора, которые должны будут соблюдаться при его заключении (актуальные для учреждения).

Например:
-сроки заключения;
-способы заключения;
-обязательные условия, которые должен содержать договор, порядок их изменения;
-случаи расторжения;
-порядок приемки поставляемых товаров, выполняемых работ, оказываемых услуг;
-ответственность поставщика и заказчика;
-другие условия заключения и исполнения договоров.
__________________
Хотя и сладостен азарт по сразу двум идти дорогам, нельзя одной колодой карт играть и с дьяволом и с богом!

Последний раз редактировалось Таинственная Незнакомка; 08.06.2015 в 14:39.
Таинственная Незнакомка вне форума  
Сказали спасибо:
Барсучок* (15.05.2015), Лара Крофт (16.05.2015)
Старый 15.05.2015, 11:28   #43
Азазелька
 
Аватар для Таинственная Незнакомка
 
Регистрация: 30.04.2010
Адрес: на реке Стикс
Возраст: 46
Сообщений: 36,292
Спасибо: 3,983
Отправить сообщение для Таинственная Незнакомка с помощью ICQ
По умолчанию Re: Путеводитель по госзакупкам

План закупок
Закон № 223-ФЗ предусматривает обязанность заказчика размещать в ЕИС (на официальном сайте) план закупки товаров, работ, услуг на срок не менее чем один год.

Постановлением Правительства РФ от 17 сентября 2012 г. № 932 утверждены Правила формирования плана закупки товаров (работ, услуг) и требования к форме такого плана.

Планы закупки инновационной продукции, высокотехнологичной продукции, лекарственных средств размещаются заказчиками на официальном сайте на трехлетний срок (ч. 9 ст. 8 Закона № 223-ФЗ). При этом с 1 января 2015 г. такие планы должны составляться на период от пяти до семи лет. Критерии отнесения товаров, работ, услуг к инновационной продукции и (или) высокотехнологичной продукции для целей формирования плана закупки данной продукции определяются федеральными органами исполнительной власти, осуществляющими функции по нормативно-правовому регулированию в установленной сфере деятельности.

В настоящее время некоторые органы исполнительной власти утвердили такие критерии для использования при планировании закупок, связанных с деятельностью в следующих регулируемых ими сферах:

-образование, наука и научно-техническая деятельность;
-промышленность, внешняя и внутренняя торговля;
-гражданская оборона и обеспечение пожарной безопасности;
-здравоохранение;
-связь и массовые коммуникации;
-миграция.

Обратим внимание, что конкретные критерии зависят от отрасли экономики, в которой производятся закупаемые товары, выполняются работы или оказываются услуги.



С 10 января 2016 года заказчики, осуществляющие закупки на основании Закона N 223-ФЗ, должны заключать договоры в соответствии с планом закупки (если сведения о таких закупках необходимо включать в него в обязательном порядке).
Одним из исключений из этого правила станет проведение закупки вследствие аварии, иных чрезвычайных ситуаций природного или техногенного характера, обстоятельств непреодолимой силы.
Сейчас Закон N 223-ФЗ не содержит прямой обязанности заказчика заключать договоры в соответствии с планом закупок.
Документ: Федеральный закон от 13.07.2015 N 249-ФЗ
Вступает в силу 13 июля 2015 года (за исключением отдельных положений)
__________________
Хотя и сладостен азарт по сразу двум идти дорогам, нельзя одной колодой карт играть и с дьяволом и с богом!

Последний раз редактировалось Таинственная Незнакомка; 17.07.2015 в 17:51.
Таинственная Незнакомка вне форума  
2020
Glavbyh.ru
Сказали спасибо:
Барсучок* (15.05.2015), Лара Крофт (27.05.2015)
Старый 15.05.2015, 11:32   #44
Азазелька
 
Аватар для Таинственная Незнакомка
 
Регистрация: 30.04.2010
Адрес: на реке Стикс
Возраст: 46
Сообщений: 36,292
Спасибо: 3,983
Отправить сообщение для Таинственная Незнакомка с помощью ICQ
По умолчанию Re: Путеводитель по госзакупкам

Размещение информации на сайте
По общему правилу информация о закупках должна размещаться заказчиками в ЕИС.

До ввода ЕИС в эксплуатацию информацию и документы, предусмотренные Законом № 223-ФЗ, необходимо размещать на официальном сайте в порядке, утвержденном постановлением Правительства РФ от 10 сентября 2012 г. № 908 (ч. 10 ст. 8 Закона № 223-ФЗ).

Руководство пользователя и инструкции по работе с официальным сайтом доступны на нем в разделе «Информация для заказчиков и поставщиков».

Обязательному размещению в ЕИС (на официальном сайте) подлежат Положение о закупке и вносимые в него изменения. Установлен срок их размещения — не позднее пятнадцати дней со дня утверждения (ч. 1 ст. 4 Закона № 223-ФЗ).

Кроме того, заказчик обязан размещать в ЕИС (на официальном сайте) план закупки товаров, работ, услуг на срок не менее чем один год (ч. 2 ст. 4 Закона № 223-ФЗ).

Итак, согласно части 5 статьи 4 Закона № 223-ФЗ при осуществлении конкретной закупки в ЕИС (на официальном сайте) должна размещаться следующая информация:

-извещение о закупке;
-документация о закупке;
-проект договора, являющийся неотъемлемой частью извещения о закупке и документации о закупке;
-изменения, вносимые в извещение и документацию;
-разъяснения документации;
-протоколы, составляемые в ходе закупки;
-иная информация, размещение которой в ЕИС (на официальном сайте) предусмотрено Законом № 223-ФЗ и положением о закупке.

Если при заключении и исполнении договора изменяются объем, цена товаров, работ, услуг или сроки исполнения договора по сравнению с зафиксированными в протоколе, составленном по результатам закупки, в ЕИС (на официальном сайте) не позднее десяти дней со дня внесения изменений в договор размещается соответствующая информация с указанием измененных условий договора (ч. 5 ст. 4 Закона № 223-ФЗ).

Помимо такой информации заказчики обязаны ежемесячно размещать в ЕИС (на официальном сайте) сведения о закупках, осуществленных в течение отчетного месяца.

Важно! Правительство РФ скорректировало Положение о размещении на официальном сайте информации о закупке (постановление Правительства РФ от 24 июля 2014 г. № 697). В частности, новый Порядок размещения информации о годовом объеме закупки вступит в силу с 1 января 2016 года.
__________________
Хотя и сладостен азарт по сразу двум идти дорогам, нельзя одной колодой карт играть и с дьяволом и с богом!
Таинственная Незнакомка вне форума  
Сказали спасибо:
Барсучок* (15.05.2015), Лара Крофт (27.05.2015)
Старый 15.05.2015, 11:36   #45
Азазелька
 
Аватар для Таинственная Незнакомка
 
Регистрация: 30.04.2010
Адрес: на реке Стикс
Возраст: 46
Сообщений: 36,292
Спасибо: 3,983
Отправить сообщение для Таинственная Незнакомка с помощью ICQ
По умолчанию Re: Путеводитель по госзакупкам

Договор
Для начала отметим, что в договоре следует указать:

-кто заключает договор (стороны договора);
-документы, на основании которых заключается договор (например, протокол подведения итогов аукциона и т. п.). Это предусматривает сложившаяся практика заключения договоров. Если договор был заключен без проведения торгов (с единственным поставщиком), можно дать ссылку на конкретный пункт Положения о закупке, который послужил основанием для заключения такого договора. Так целесообразно поступить и в том случае, если согласно Положению о закупке учреждение проводит все закупки у единственного поставщика.

Обязательно нужно прописать также существенные условия договора. К ним относятся:
-предмет договора;
-условия, которые названы в законе или других правовых актах как существенные или необходимые для договоров определенного вида (в частности, срок исполнения обязательств сторонами);
условия, относительно которых по заявлению одной из сторон должно быть достигнуто соглашение.

При отсутствии таких условий договор будет считаться незаключенным. Такой вывод следует из пункта 1 статьи 432 Гражданского кодекса РФ.
Дополнительно в договор можно включить и такие условия:
-качество товаров (работ, услуг), поставляемых (выполняемых, оказываемых) по договору;
-цена договора;
-порядок расчетов;
-условия поставки товаров (выполнения работ, оказания услуг);
-гарантийные обязательства;
-порядок приемки товаров (работ, услуг);
-ответственность заказчика;
-ответственность поставщика (исполнителя, подрядчика);
-особые условия исполнения обязательств;
-обстоятельства непреодолимой силы;
-обеспечение исполнения договора;
-порядок разрешения разногласий;
-условия расторжения договора;
-реквизиты сторон.

Каким способом заключать договор
Договор нужно заключить в простой письменной форме (подп. 1 п. 1 ст. 161 Гражданского кодекса РФ). Причем в некоторых случаях договор требует нотариального удостоверения:
-в силу закона (например, договор о залоге движимого имущества в обеспечение обязательств по нотариально удостоверенному договору — ст. 339 Гражданского кодекса РФ, договор ренты — ст. 584 Гражданского кодекса РФ);
-если это предусмотрено соглашением сторон.

Кроме того, в ряде случаев сделки требуют госрегистрации (например, при сделках с недвижимым имуществом или музейными предметами и коллекциями) (ст. 164 Гражданского кодекса РФ).

Большинство договоров оформляются в виде одного документа, но это не всегда обязательно. Только в нескольких случаях закон предусматривает обязательную форму договора в виде подписания сторонами одного документа (п. 2 ст. 434 Гражданского кодекса РФ). Это, в частности:
-продажа недвижимости (ст. 550 Гражданского кодекса РФ);
-аренда здания или сооружения (п. 1 ст. 651 Гражданского кодекса РФ);
-страхование (п. 2 ст. 940 Гражданского кодекса РФ).

В остальных случаях у сторон больше возможностей. «Простая письменная форма» не означает, что это должен быть именно один документ, подписанный обеими сторонами. Закон предусматривает много способов для совершения двухсторонних (многосторонних) сделок в простой письменной форме. Помимо подписания единого документа, договор может быть заключен путем:
-обмена письменными документами посредством почтовой, телеграфной, телетайпной, телефонной, электронной и иной связи, позволяющей достоверно установить, что документ исходит от стороны по договору (п. 2 ст. 434 Гражданского кодекса РФ);
-подписания протокола о результатах проведения торгов. Он имеет силу договора в случае, когда предметом торгов было именно заключение договора, а не право на заключение договора (п. 5 ст. 448 Гражданского кодекса РФ);
-присоединения к договору, условия которого определены одной из сторон в формулярах или других стандартных формах (ст. 428 Гражданского кодекса РФ);
совершения лицом, получившим оферту в срок, установленный для ее акцепта, действий по выполнению указанных в ней условий договора, в том числе по отгрузке товара, предоставлению услуг, уплате денежной суммы и т. д. (п. 3 ст. 438 Гражданского кодекса РФ);
-выдачи документа, необходимого для того, чтобы письменная форма договора считалась соблюденной. Например, для договора хранения таким документом может быть сохранная расписка или другой документ, подписанный хранителем (п. 2 ст. 887 Гражданского кодекса РФ). Кроме того, письменная форма контракта будет соблюдена при наличии документов, которые подтверждают факт оплаты товаров, работ, услуг: товарный, кассовый чеки, квитанции, бланки строгой отчетности;
-направления акцепта на оферту, размещенную в интернете.
__________________
Хотя и сладостен азарт по сразу двум идти дорогам, нельзя одной колодой карт играть и с дьяволом и с богом!
Таинственная Незнакомка вне форума  
Сказали спасибо:
Барсучок* (15.05.2015), Лара Крофт (16.05.2015)
Старый 15.05.2015, 11:39   #46
Азазелька
 
Аватар для Таинственная Незнакомка
 
Регистрация: 30.04.2010
Адрес: на реке Стикс
Возраст: 46
Сообщений: 36,292
Спасибо: 3,983
Отправить сообщение для Таинственная Незнакомка с помощью ICQ
По умолчанию Re: Путеводитель по госзакупкам

Типичные ошибки

Отсутствие конкретных правил и (или) рекомендаций по выбору способа закупки. Очень часто копируется крайне неоднозначный опыт госзакупок (одноименность продукции, «поквартальность» мелких закупок, предельный процент мелких закупок и т. д.). Не учитывается один из базовых принципов научно обоснованной методологии закупочной деятельности: преимущественный способ закупки — конкурентные закупки (в идеальном случае — конкурсы и аукционы). В случае нецелесообразности конкурентных закупок проводится неконкурентная закупка у единственного поставщика при строгом контроле обоснованности такой закупки и ее конечной стоимости.

Необоснованно завышенный ценовой порог проведения неконкурентных процедур. Многие заказчики слишком поздно осознают, что правило проведения закупки на неконкурентной основе «до 10 млн руб.» при максимальных ценах заключаемых контрактов не более 2 млн руб. не найдет (причем справедливо) понимания у органов контроля и надзора.

Непонимание разницы между неконкурентной закупкой и непубличной закупкой. Правило выбора способа закупки принадлежит заказчику. Правило публичности закупки (размещения информации о такой закупке) регулируется частью 15 статьи 4 Закона № 223-ФЗ. В общем случае максимальный размер непубличной закупки не может превышать 100 тыс. руб. (кроме отдельных заказчиков).

Если годовая выручка заказчика за отчетный финансовый год составляет более 5 млрд руб., он вправе не размещать на официальном сайте сведения о закупке товаров (работ, услуг), стоимость которых не превышает 500 тыс. руб. (ч. 15 ст. 4 Закона № 223-ФЗ).

Непродуманное копирование опыта закупочных систем иных заказчиков. Пользуясь открытым доступом к реестру положений о закупках, заказчики слепо заимствуют положения о закупках таких организаций как «Ростелеком», «Газпром», «Российские железные дороги», «Росатом» и т. п. Такие нормативные документы действительно разработаны высококвалифицированными специалистами, но задачи, в целях решений которых они созданы, для абсолютного большинства бюджетных учреждений не актуальны.

«Изобретение» самых невероятных закупочных технологий. Примеры можно найти через поиск по способу закупки в соответствующем разделе официального сайта. Вариантов сотни, но при анализе сути предлагаемых процедур выясняется, что фактически речь идет о конкурсах/аукционах, которые заказчик всячески пытается понимать как неторговые процедуры. Есть судебная практика, отличная от субъективного восприятия авторов таких новелл. «Предзапросный мониторинг цен» и «запрос ценовых оферт» могут быть оценены судом как те же конкурсы, но проведенные с грубейшими нарушениями как Закона № 223-ФЗ, так и общих норм гражданского законодательства.

Применение непрозрачных алгоритмов определения победителя. Пример: закупка товара с определенными потребительскими свойствами (или его эквивалента). Критерий оценки — «качество». Весовое значение — 60 баллов (так в документации). Полная неопределенность в части порядка оценки заявок. Допустим, участник предлагает к поставке оригинальный товар. Это 0 баллов или 60 баллов? Прямое нарушение принципа прозрачности закупок и принципа измеримости требований к объекту закупки.

Отсутствие порядка приемки результатов исполнения договора. Порядок приемки результатов необходим как документально, так и фактически, иначе нарушаются требования части 2 статьи 2 Закона 223-ФЗ (содержание положения).

Есть ли ограничения годового объема закупок у единственного поставщика, а также на сумму, не превышающую 100 тыс. руб., по Закону № 223-ФЗ?

Есть ли ограничения годового объема закупок у единственного поставщика, а также на сумму, не превышающую 100 тыс. руб., по Закону № 223-ФЗ?
Отвечает Валерий ПЕТРОВ, специалист контрактной службы
Нет. Нормы Закона № 223-ФЗ не содержат запрета на количество таких закупок заказчиком.

Однако злоупотребление учреждением правом осуществлять закупки у единственного поставщика может привести к недобросовестной конкуренции и повлечь формирование прецедента для заказчика. Об этом сказано в письме Минэкономразвития России от 11 февраля 2015 г. № Д28и-205.
[свернуть]
__________________
Хотя и сладостен азарт по сразу двум идти дорогам, нельзя одной колодой карт играть и с дьяволом и с богом!

Последний раз редактировалось Таинственная Незнакомка; 29.07.2015 в 09:39.
Таинственная Незнакомка вне форума  
Сказали спасибо:
Dark Crow (25.05.2015), Барсучок* (28.05.2015), Лара Крофт (16.05.2015)
Старый 15.05.2015, 11:41   #47
Азазелька
 
Аватар для Таинственная Незнакомка
 
Регистрация: 30.04.2010
Адрес: на реке Стикс
Возраст: 46
Сообщений: 36,292
Спасибо: 3,983
Отправить сообщение для Таинственная Незнакомка с помощью ICQ
По умолчанию Re: Путеводитель по госзакупкам

Административная ответственность за нарушения в сфере закупок, которые проводятся по правилам Закона № 223-ФЗ
__________________
Хотя и сладостен азарт по сразу двум идти дорогам, нельзя одной колодой карт играть и с дьяволом и с богом!
Таинственная Незнакомка вне форума  
Сказали спасибо:
Барсучок* (28.05.2015), Лара Крофт (16.05.2015)
Старый 15.05.2015, 11:51   #48
Азазелька
 
Аватар для Таинственная Незнакомка
 
Регистрация: 30.04.2010
Адрес: на реке Стикс
Возраст: 46
Сообщений: 36,292
Спасибо: 3,983
Отправить сообщение для Таинственная Незнакомка с помощью ICQ
По умолчанию Re: Путеводитель по госзакупкам

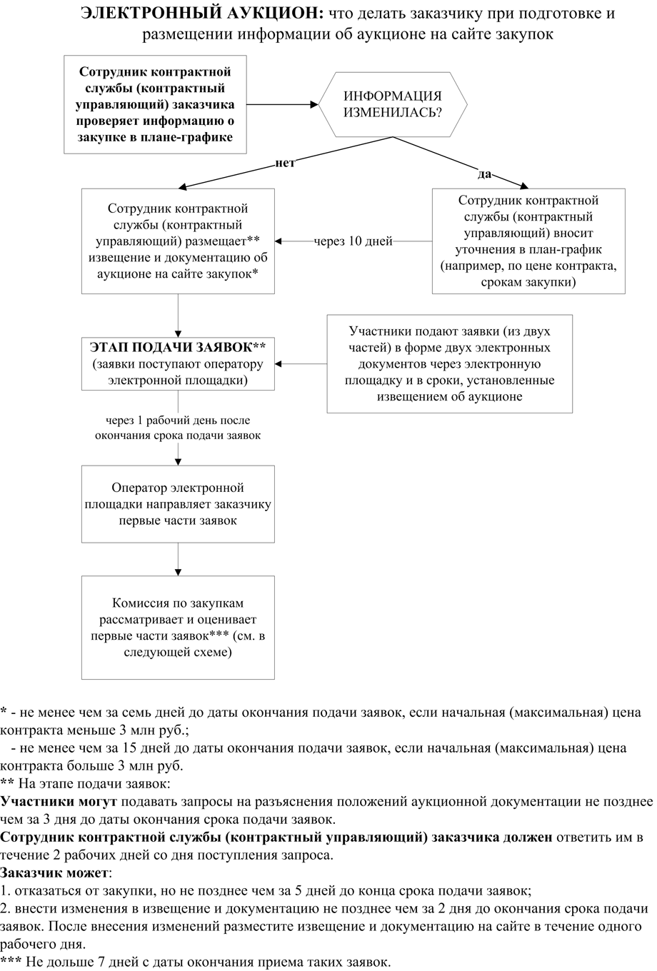
Как провести аукцион в электронной форме.

Электронный аукцион (аукцион в электронной форме) — способ определения поставщика (подрядчика, исполнителя), при котором торги проводятся на специальном сайте (электронной площадке), а победителем становится тот, кто предложит наименьшую цену контракта (ч. 4 ст. 24, ч. 1 ст. 59 Закона 44-ФЗ).

Обязанность проводить электронный аукцион возникает у заказчика, в случае если осуществляются закупки товаров, работ, услуг, включенных в перечень утвержденный Правительством РФ от 31 октября 2013 г. № 2019-р.
Схема 1: Основные этапы проведения аукциона

Аукционы проводятся на электронных площадках, отбор которых осуществляется Минэкономразвития России совместно с ФАС России сроком на пять лет. По результатам отбора операторов электронных площадок Правительством Российской Федерации определяется перечень таких операторов.

Основные площадки представлены на официальном сайте (рис. 1):

Рис.1: Электронные площадки


Решение о проведении аукциона принимает заказчик, а при централизации закупок — уполномоченный орган или уполномоченное учреждение (ч. 5 ст. 24, ст. 26 Закона № 44-ФЗ).

Перед проведением аукциона в электронной форме создайте комиссию по проведению закупок. При этом заказчик вправе создать как специализированную аукционную комиссию, так и единую комиссию, уполномоченную определять поставщика любыми способами (ст. 39 Закона № 44-ФЗ).

До создания единой информационной системы заказчик или уполномоченный орган, уполномоченное учреждение должны размещать извещение о проведении электронного аукциона на официальном сайте www.zakupki.gov.ru.

Заказчик не менее чем за 15 дней до даты окончания подачи заявок размещает извещение об электронном аукционе, если начальная цена контракта выше 3 млн. руб.. Если же начальная цена контракта не превышает 3 млн. руб., то извещение допускается размещать не менее чем за семь дней (ч. 2, 3 ст. 63 Закона № 44-ФЗ).

В дополнение к официальному сайту заказчик или орган, уполномоченный на проведение централизованной закупки, могут опубликовать извещение об аукционе в любых средствах массовой информации (включая электронные). Но подобная публикация не отменяет размещение на официальном сайте (ч. 4 ст. 63 Закона № 44-ФЗ).

Далее смотрим вложения.

Электронный аукцион от А до Я. Номер №1 Журнала "Госзакупки в учреждениях" июль 2015г.

5 шагов: Как провести электронный аукцион


5 шагов: Как принять участие в электронном аукционе
__________________
Хотя и сладостен азарт по сразу двум идти дорогам, нельзя одной колодой карт играть и с дьяволом и с богом!

Последний раз редактировалось Таинственная Незнакомка; 22.07.2015 в 10:15.
Таинственная Незнакомка вне форума  
2020
Glavbyh.ru
Сказали спасибо:
Барсучок* (10.07.2015), Джокер (11.07.2015), Лара Крофт (15.05.2015)
Старый 10.07.2015, 12:48   #49
Азазелька
 
Аватар для Таинственная Незнакомка
 
Регистрация: 30.04.2010
Адрес: на реке Стикс
Возраст: 46
Сообщений: 36,292
Спасибо: 3,983
Отправить сообщение для Таинственная Незнакомка с помощью ICQ
По умолчанию Re: Путеводитель по госзакупкам

Порядок изменения условий контракта
Вложения
Тип файла: doc Порядок изменения условий контракта.doc (59.0 Кб, 1052 просмотров)
__________________
Хотя и сладостен азарт по сразу двум идти дорогам, нельзя одной колодой карт играть и с дьяволом и с богом!
Таинственная Незнакомка вне форума  
Сказали спасибо:
Барсучок* (11.07.2015), Лара Крофт (20.07.2015)
Старый 10.07.2015, 17:16   #50
Азазелька
 
Аватар для Таинственная Незнакомка
 
Регистрация: 30.04.2010
Адрес: на реке Стикс
Возраст: 46
Сообщений: 36,292
Спасибо: 3,983
Отправить сообщение для Таинственная Незнакомка с помощью ICQ
По умолчанию Re: Путеводитель по госзакупкам

«Антикризисные» постановления по госзакупкам в 2015 году
«Антикризисные» постановления Правительства РФ



В конце 2014 года в Закон № 44-ФЗ был внесен ряд изменений, которые были направлены на защиту интересов участников государственных закупок в условиях кризиса.

Новые нормы установили возможность изменять существенные условия контракта, предоставлять контрагенту отсрочку уплаты неустоек и в определенных случаях не устанавливать в документации о закупке требование об обеспечении исполнения контракта.

Порядки и условия реализации данных мер были утверждены Правительством РФ в марте 2015 года. Так, были приняты три постановления, направленные на реализацию «антикризисного» плана (постановление Правительства РФ от 5 марта 2015 г. № 196, постановление Правительства РФ от 6 марта 2015 г. № 199, постановление Правительства РФ от 6 марта 2015 г. № 198).

Схема 1. «Антикризисные» постановления

Эти постановления Правительства РФ являются временными мерами и действуют до 1 января 2016 года.

«Антикризисные» постановления призваны обеспечить исполнение государственных и муниципальных контрактов в 2015 году.

При неисполнении обязательств по контракту контрагента необходимо внести в список недобросовестных поставщиков, размещенный в Единой информационной системе (ЕИС). Так, если контракт не может быть исполнен по причине резкого удорожания товаров или услуг, а не по вине контрагента, принятые меры позволят снизить такой риск. Применяя нормы постановлений, учреждение поможет снизить финансовую нагрузку на поставщика в условиях кризиса.

Списание начисленных штрафов и пеней
Учреждение, планируя торги, готовит проект государственного контракта. В его положениях необходимо четко определить условия об ответственности за неисполнение или ненадлежащее исполнение обязательств. Это установлено в статье 34 Закона № 44-ФЗ. Данная норма закона предусмотрена для того, чтобы обезопасить учреждение от недобросовестного поставщика.

Правила расчета размера штрафа и пеней утверждены постановлением Правительства РФ от 25 ноября 2013 г. № 1063.
Так как ответственность является двусторонней, в проект контракта необходимо включить условия о штрафных санкциях как для заказчика, так и для контрагента.

Схема 2. Ответственность сторон по контракту

В 2015 году суммы начисленных штрафов и пеней допустимо списывать либо предоставлять контрагенту отсрочку по оплате.
О таком решении заказчик должен уведомить поставщика в письменной форме. Это определено в постановлении № 196.
Однако списывать суммы неустойки или предоставлять по ним рассрочку оплаты возможно не по всем контрактам (схема 3).
Схема 3. Контракты, для которых нормы постановления № 196 применять нельзя

В остальных случаях, если заказчик начислил контрагенту суммы штрафов и (или) пеней можно предоставить отсрочку оплаты либо списать их. Порядок зависит от суммы неуплаченной неустойки (схема 4).

Схема 4. Порядок предоставления отсрочки и списания


Обеспечение исполнения обязательств
Обеспечение исполнения обязательств
В документации о закупке заказчик устанавливает требование о том, чтобы контрагент внес залог в качестве обеспечения исполнения обязательств по контракту. Он может это сделать путем:

внесения денег на счет, указанный заказчиком в документации о закупке;
предоставления банковской гарантии.
Поставщик должен предать заказчику обеспечение в срок, установленный для заключения контракта (ч. 5 ст. 96 Закона №44-ФЗ).

В части 8 статьи 96 Закона № 44-ФЗ установлен ряд случаев, когда учреждение не вправе требовать залог с контрагента (схема 5).

Схема 5. Случаи, когда обеспечение по контракту не устанавливают

К перечисленным случаям добавили еще пять ситуаций, при которых заказчик вправе не требовать обеспечение исполнения контракта (постановление № 199). Однако применять данный документ можно только в 2015 году (схема 6).

Схема 6. Обеспечение контракта

Важно отметить, что постановление № 199 дает возможность высшим исполнительным органам государственной власти субъектов РФ и местным администрациям изменить предельные размеры аванса или оплаты за этап выполнения работ в отношении региональных и муниципальных закупок.

Изменение условий контракта

Изменение существенных условий контракта при его исполнении не допускается. Исключения перечислены в частях 1 и 1.1 статьи 95 Закона № 44-ФЗ.

Постановление № 198 было выпущено к части 1.1 статьи 95 Закона № 44-ФЗ. В нем предусмотрен порядок, в котором заказчик и поставщик могут согласовать изменение существенных условий государственного контракта в 2015 году, когда он уже заключен. Это могут быть:
-цена контракта;
-цена за единицу работы, услуги, товара;
-срок исполнения.
Для полноценной реализации положений постановления № 198 необходим ряд подзаконных нормативных актов и локальных актов различного уровня, устанавливающих перечень товаров (работ, услуг). Кроме того, документ можно применять не для любого контракта. Он должен отвечать определенным условиям (схема 7).

Схема 7. Порядок применения постановления № 198

* для региональных и муниципальных нужд предельную сумму устанавливают высшие органы исполнительной власти соответствующих субъектов РФ и местных администраций.

Изменения можно вносить по государственным и муниципальным контрактам, заключенным в соответствии с Законом № 44-ФЗ и Федеральным законом от 21 июля 2005 г. № 94-ФЗ.

В учреждение поставщику необходимо направить письменное обращение с обоснованием невозможности исполнения контракта без изменения его условий в связи с существенным изменением обстоятельств. Это установлено в постановлении № 198 в соответствии со статьей 451 Гражданского кодекса РФ (изменение и расторжение договора в связи с существенным изменением обстоятельств).

Получив обращение, заказчик может принять решение об изменении условий контракта и о заключении дополнительного соглашения.

Кроме того, в постановлении № 198 перечислены причины, которые влияют на принятие заказчиком решения (схема 8).

Схема 8. Причины, которые влияют на решение об изменении условий

Учреждение должно учитывать:

объем фактически исполненных поставщиком обязательств по контракту на момент принятия решения о внесении в него изменений;
утвержденный и доведенный объем финансового обеспечения на 2015 год.
Заказчик принимает решение о внесении изменений в контракт в течение 30 дней с момента получения необходимых документов от контрагента.

К контракту, в который вносят изменения, необходимо заключить дополнительное соглашение, к которому в виде приложения прикрепляют расчет и обоснование. Информацию вносят в реестр контрактов. Это необходимо сделать в течение одного рабочего дня, следующего за датой изменения (письмо Казначейства России от 10 марта 2015 г. № 05-07-05/11).

Изменить условия можно в любом сочетании. Например, уменьшить количество товара, объема выполняемой работы или оказываемой услуги, при этом увеличить цену за единицу.
Увеличить цену контракта допускается только в установленных пределах. Для его расчета в постановлении № 198 приведены формулы.
__________________
Хотя и сладостен азарт по сразу двум идти дорогам, нельзя одной колодой карт играть и с дьяволом и с богом!
Таинственная Незнакомка вне форума  
Сказали спасибо:
Барсучок* (11.07.2015), Лара Крофт (13.07.2015)
Старый 22.07.2015, 09:24   #51
Азазелька
 
Аватар для Таинственная Незнакомка
 
Регистрация: 30.04.2010
Адрес: на реке Стикс
Возраст: 46
Сообщений: 36,292
Спасибо: 3,983
Отправить сообщение для Таинственная Незнакомка с помощью ICQ
По умолчанию Re: Путеводитель по госзакупкам

Ошибки заказчиков: что показал аудит Счетной палаты


О чем пойдет речь: 22 июня на официальном сайте госзакупок была опубликована обобщенная информация о результатах аудита, который Счетная палата РФ провела в 2014 году. Анализ типичных нарушений, выявленных в сфере закупок, поможет не допустить собственных ошибок.

Иван Сидоров, эксперт журнала «Госзакупки в учреждениях»

Какие нарушения выявили аудиторы
В соответствии со статьей 98 Федерального закона от 5 апреля 2013 г. № 44-ФЗ (далее – Закон № 44-ФЗ) аудит в сфере закупок осуществляют Счетная палата РФ, а также контрольно-счетные органы субъектов РФ и муниципальных образований.

Я расскажу об итогах аудита, который провела Счетная палата РФ в 2014 году.

Контрольный орган проверил закупочную деятельность в рамках более 100 контрольных мероприятий. По их результатам аудиторы выявили 312 нарушений, которые были допущены при проведении закупок и исполнении государственных контрактов. В их числе:
-нарушения условий государственного или муниципального контракта (в закупках на общую сумму 7,6 млрд руб.);
-осуществление государственных или муниципальных закупок с нарушением установленного порядка (5,4 млрд руб.);
-несоблюдение норм, в соответствии с которыми государственные (муниципальные) контракты должны быть заключены и оплачены в пределах лимитов бюджетных обязательств (2,7 млрд руб.).

Девять типичных ошибок при применении Закона № 44-ФЗ
Перечислю наиболее распространенные нарушения и недочеты.

1. Заказчик нарушил порядок формирования контрактной службы, назначения контрактного управляющего.

2. Нет документа, в котором установлен регламент проведения ведомственного контроля в сфере закупок в отношении подведомственных заказчиков.

3. Нарушения, касающиеся плана-графика размещения заказов.

Например:
-план-график не соответствует установленным формам или был размещен с нарушением сроков;
-заказчик нарушил порядок внесения изменений в план-график;
-заказчик разместил извещение о закупке раньше, чем опубликовал план-график на официальном сайте.

Шпаргалка

Нюансы исполнения и изменения контракта, о которых часто забывают заказчики
1. Если закупка происходит у единственного поставщика, заказчик обязан привлекать экспертов. Их задача – проверить, соответствуют ли представленные поставщиком результаты исполнения контракта его условиям. Исключение сделано для случаев, указанных в пункте 4 статьи 94 Закона № 44-ФЗ.

2. Нельзя менять существенные условия контракта при его исполнении, кроме ситуаций, описанных в статье 95 Закона № 44-ФЗ.
[свернуть]


Отмечу, что если заказчик нарушил сроки размещения планов-графиков на официальном сайте, то до 1 января 2016 года он не будет нести административную ответственность в соответствии с частью 1.4 статьи 7.30 Кодекса РФ об административных правонарушениях. Об этом сказано в письме ФАС России от 9 апреля 2015 г. № АК/17162/15.

Совет

Не объединяйте в один лот товары, технологически и функционально не связанные друг с другом
[свернуть]


4. В проекте контракта не прописаны обязательные условия.

5. Не соблюдены требования к формированию закупки (лота).

6. Протокол о проведении конкурса не соответствует установленным требованиям. В частности, не указан порядок оценки по нестоимостным критериям.

7. Заказчик осуществил закупку у единственного поставщика (подрядчика, исполнителя), хотя по закону не имел на это права.

8. В единой информационной системе (ЕИС) нет отчета об исполнении контракта или его отдельного этапа. Напомню, что такой отчет надо разместить в ЕИС в течение семи рабочих дней после того, как:
-заказчик оплатил обязательства и подписал документ о приемке результатов исполнения контракта (или отдельного этапа его исполнения). В случае создания приемочной комиссии такой документ подписывают все члены приемочной комиссии и заказчик утверждает его;
-заказчик оплатил обязательства по контракту и подписал документ о приемке поставленных товаров, выполненных работ или оказанных услуг. В случае создания приемочной комиссии такой документ подписывают все члены приемочной комиссии, а заказчик утверждает его;
-контракт расторгнут (по соглашению сторон, по решению суда, в одностороннем порядке).

9. Поставленные товары не были использованы (использованы не по назначению или неэффективно).

Как распределены нарушения в сфере закупок

Что часто признают закупкой с избыточными свойствами
Счетная палата РФ зафиксировала ряд случаев, когда заказчики покупали автомобили люкс-класса стоимостью от 3 млн до 6 млн руб.

В технические задания на эти автомобили были включены такие требования, как боковые подножки с подсветкой, вентиляция сидений автомобиля, аудиосистема премиум-класса, возможность подключения Ipod, отделка всего салона тканью «Алькантара», люк из тонированного безопасного стекла с электроприводом и встроенными фотоэлементами солнечной батареи, ионизатор воздуха.

Транспорт подобного класса относится к приобретениям с избыточными потребительскими свойствами. И если закупку признают таковой по итогам аудита, то Счетная палата РФ направит соответствующие обращения в правоохранительные и контрольные органы.

Как будут бороться с офшорами
Из 280 крупных госконтрактов (каждый на сумму свыше 1 млрд руб.) 50 было заключено с организациями, зарегистрированными в иностранных юрисдикциях. Общая сумма этих контрактов – 272,4 млрд руб.

Представители Счетной палаты РФ неоднократно заявляли, что офшорные компании нужно исключить из сферы госзакупок. Данный вопрос особенно актуален после введения в отношении России экономических санкций.

При этом законопроект, устанавливающий запрет на участие офшорных компаний в закупках, Правительство РФ внесло в Госдуму РФ только в январе 2015 года (проект Федерального закона № 694962-6).

Однако, по моему мнению, данный законопроект не полностью решает проблему.

Во-первых, авторы не учли, что учредителем российской компании, с которой заключается госконтракт, также может быть юридическое лицо, зарегистрированное в офшорной юрисдикции.

Во-вторых, законопроект не лишает заказчиков возможности привлекать для исполнения госконтракта третьих лиц (субподрядчиков, соисполнителей) из числа офшорных компаний.




......
__________________
Хотя и сладостен азарт по сразу двум идти дорогам, нельзя одной колодой карт играть и с дьяволом и с богом!
Таинственная Незнакомка вне форума  
Сказали спасибо:
Барсучок* (22.07.2015), Лара Крофт (22.07.2015)
Старый 22.07.2015, 09:48   #52
Азазелька
 
Аватар для Таинственная Незнакомка
 
Регистрация: 30.04.2010
Адрес: на реке Стикс
Возраст: 46
Сообщений: 36,292
Спасибо: 3,983
Отправить сообщение для Таинственная Незнакомка с помощью ICQ
По умолчанию Re: Путеводитель по госзакупкам

Какие действия нужны для успешного участия в гостендерах

Главное в статье
1. Нарушения в условиях заключенного контракта могут вызвать претензии со стороны контрольных органов. На какие моменты необходимо обратить внимание?
2. Штраф надо зафиксировать, пени – рассчитать. Узнайте, как не допустить ошибок
3. Любой контракт должен иметь срок действия. Но не каждая формулировка позволит сделать его условия выполнимыми
4. Необходимо соблюдать норму об объеме закупок у субъектов малого бизнеса. А как действовать, если торги организованы не только для них?

Валерия Сусликова, эксперт журнала «Госзакупки в учреждениях»

Требования законодательства для участия в госзакупках
Из-за недостатка опыта многие организации не решаются принимать участие в государственных тендерах. Однако победа в таких торгах поможет получить не только приличные доходы, но и повысить свою деловую репутацию на рынке. Проведение тендеров , заказчиками которых выступают государственные учреждения, регламентировано Федеральным законом от 5 апреля 2013 г. № 44-ФЗ (далее – Закон № 44-ФЗ).

На первый взгляд участие в них сопряжено с рядом сложностей. Ведь придется подготовить заявку с учетом требований заказчика, не пропустить сроки, рассчитать финансовые возможности. Но на самом деле все не так страшно.

Запомните: у организации либо индивидуального предпринимателя не должно быть долгов по налогам, сборам и судимостей за преступления в сфере экономики. Кроме того, они не могут находиться в стадии банкротства или ликвидации. А еще понадобится свободный капитал или гарантия от банка.

Далее приведем общие принципы участия в государственных торгах.

Разные виды тендеров: как подготовиться к нужному
Госзакупки по Закону № 44-ФЗ бывают нескольких видов. Например, запрос котировок, конкурс, запрос предложений. Заявку на участие в данных случаях подают на бумаге или в электронной форме.

Самый простой из них – запрос котировок. По своей сути данная процедура не признается торговой. Основной и единственный критерий определения победителя – это цена. Поэтому компании важно рассчитать свои финансовые возможности.

Наиболее сложными способами являются все виды конкурсов. Вместе с заявкой участник подает большое количество документов. Комиссия заказчика оценивает потенциальных контрагентов по особому набору критериев (как ценовых, так и нестоимостных). Победителем становится организация, предложившая лучшие условия.

А самый распространенный вид – электронный аукцион. Чтобы принять в нем участие, достаточно иметь доступ к интернету и совершить ряд действий.

Общий порядок участия

Важно запомнить!

Чтобы оценить рынок госзаказа, целесообразно воспользоваться официальным сайтом гос закупок (zakupki.gov.ru)
[свернуть]

Проанализируем алгоритм подготовки и само участие в разных видах закупок .

1. Выбор торговой площадки
Уточню, что на федеральных электронных торговых площадках (ЭТП) по Закону № 44-ФЗ проводят только электронные аукционы. Стартовая точка для участия – это аккредитация. Сначала нужно получить сертификат электронной подписи в одном из авторизованных удостоверяющих центров. Их список можно найти на официальных сайтах ЭТП. Как правило, электронная подпись действует на любой площадке.

После получения сертификата выполняют настройку рабочего места. Затем необходимо подать на сайте ЭТП заявление на аккредитацию. В соответствии с частью 4 статьи 61 Закона № 44-ФЗ его должны рассмотреть в течение не более пяти рабочих дней. Срок аккредитации – три года.

На заметку:
Действующие электронные торговые площадки
В настоящий момент действует пять федеральных ЭТП:
– автоматизированная система торгов «Сбербанк-АСТ» (sberbank-ast.ru);
– единая электронная торговая площадка (roseltorg.ru);
– общероссийская система электронной торговли (etp.zakazrf.ru);
– электронная площадка России RTS Tender (rts-tender.ru);
– электронная торговая площадка «Госзакупки» ЭТП ММВБ (etp-micex.ru).


2. Подготовка документов к торгам
Для участия в тендере все документы надо подготовить в установленный срок. Для этого тщательно изучают документацию заказчика. Подготовка пакета документов занимает достаточно длительное время (например, если речь идет о конкурсе).

Совет

Чтобы избежать проблем при подготовке к торгам, лучше заранее определить перечень всех мероприятий, их последовательность, сроки и ответственных лиц
[свернуть]

Заявка на участие в торгах состоит из двух частей. Первая содержит только согласие на участие и информацию о предмете тендера. Для анонимности в данной части не указывают наименование претендента.

Минимум, что должна содержать вторая часть заявки:
-ИНН и наименование организации или Ф. И. О. индивидуального предпринимателя (ИНН учредителя);
-документы, подтверждающие соответствие требованиям Закона № 44-ФЗ;
-копии документов, подтверждающих соответствие товара, работы или услуги требованиям, установленным в соответствии с законодательством РФ;
-решение об одобрении или о совершении крупной сделки;
документы, подтверждающие право участника на получение преимущества (для учреждений уголовно-исполнительной системы и организаций инвалидов);
-декларацию о принадлежности участника к субъектам малого предпринимательства или социально ориентированным некоммерческим организациям.

Заявку в бумажном виде (при конкурсе, запросе котировок) нужно доставить заказчику в запечатанном конверте (курьером, почтой, лично). В электронном – загрузить через ЭТП либо отправить на электронную почту заказчика (если это допустимо), заверив электронной подписью.

3. Подготовка финансовых гарантий
Госзаказчики требуют финансовую гарантию того, что победитель тендера подпишет договор. Обеспечением могут быть как денежные средства, так и банковская гарантия. Последнюю можно получить в уполномоченных банках (их перечень есть на официальном сайте Минфина России).

Сумма обеспечения составит от 0,5 до 5 процентов от начальной (максимальной) цены контракта. Ее организации вернут в течение пяти рабочих дней после подведения итогов. А, например, при электронном аукционе оператор электронной торговой площадки разблокирует средства за один рабочий день.

Но следует помнить, что обеспечение не вернут, если организация-победитель уклонилась от заключения контракта. Учтите и такой важный нюанс. Если в течение квартала на одной ЭТП заявка участника будет отклонена по второй части три раза, обеспечение заявки по последнему отклонению будет переведено на расчетный счет заказчика (ч. 27 ст. 44 Закона № 44-ФЗ).

4. Надо соблюсти установленные сроки
При проведении конкурса или запроса котировок в конкретный день собирается комиссия госзаказчика. Ее члены вскрывают все конверты, затем в течение установленного срока определяют победителя. Любой участник имеет право присутствовать при данной процедуре.

Если организация участвует в электронном аукционе, то после получения допуска в указанный день необходимо перейти в аукционный зал на электронной площадке, где проводится закупка.

На площадке компания подает свои ценовые предложения. Аукцион проходит в два этапа. На первом снижают начальную цену контракта. При этом предложения подают в пределах шага аукциона. На втором этапе участники могут улучшить свои ценовые предложения, кроме назвавшего лучшую цену. Максимальное время, отведенное на один шаг на электронном аукционе, – 10 минут. А величина снижения НМЦК – от 0,5 до 5 процентов.

После окончания торгов оператор ЭТП направит заказчику результаты. Специальная комиссия рассмотрит вторые части заявок. Если заявка лидера первого этапа будет признана соответствующей требованиям, именно с ним и подпишут контракт. В противном случае победителем могут признать участника под вторым, третьим номером и т. д.

Правила подписания контракта
По закону победитель торгов обязан внести обеспечение выполнения контракта и подписать его. Как и с обеспечением по заявке, можно предоставить банковскую гарантию или перечислить денежные средства на счет заказчика. Важно знать, что при проведении электронного аукциона подписание контракта происходит в интерфейсе торговой площадки. В остальных случаях его подписывают в бумажном варианте.

Если победитель не подпишет контракт и не внесет обеспечение в установленный срок, его признают уклонившимся от заключения контракта и внесут в реестр недобросовестных поставщиков.

Шпаргалка

Три ошибки, из-за которых заявку не допустят к участию
1. Предлагаемая цена контракта приведена в заявке без НДС.
Все налоги, пошлины и прочие сборы, а также затраты на страхование, которые исполнитель должен будет оплатить в соответствии с условиями государственного контракта, необходимо включить в расценки и общую цену заявки (если компания – плательщик НДС).

2. Не указано, что материалы, используемые в работе, будут новыми.
Если заказчик в своей документации особо оговорил, что материалы, применяемые при выполнении работ, должны быть новыми, то в первой части заявки необходимо это указать (постановление Третьего арбитражного апелляционного суда от 18 марта 2015 г. № А33-22299/2014).

3. В заявке на участие в аукционе отсутствует ИНН учредителя.
Вторая часть заявки на участие должна содержать сведения не только об ИНН самого участника, но и об ИНН его учредителей, членов коллегиального исполнительного органа, лица, исполняющего функции единоличного исполнительного органа. Обязательна и контактная информация.
[свернуть]
__________________
Хотя и сладостен азарт по сразу двум идти дорогам, нельзя одной колодой карт играть и с дьяволом и с богом!
Таинственная Незнакомка вне форума  
Сказали спасибо:
Барсучок* (22.07.2015), Лара Крофт (22.07.2015)
Старый 22.07.2015, 10:11   #53
Азазелька
 
Аватар для Таинственная Незнакомка
 
Регистрация: 30.04.2010
Адрес: на реке Стикс
Возраст: 46
Сообщений: 36,292
Спасибо: 3,983
Отправить сообщение для Таинственная Незнакомка с помощью ICQ
По умолчанию Re: Путеводитель по госзакупкам

Реестр недобросовестных поставщиков. Порядок внесения сведений


О чем пойдет речь: хотя реестр недобросовестных поставщиков – это механизм для защиты заказчиков, последним необходимо соблюдать определенный порядок направления в него сведений о компаниях-нарушителях. Также расскажу, как участник закупки может обжаловать решение ФАС России о внесении в реестр.

Ольга Беляева, ведущий научный сотрудник Института законодательства и сравнительного правоведения при Правительстве РФ


Инициатор внесения в реестр всегда заказчик
Реестр недобросовестных поставщиков ведет Федеральная антимонопольная служба. Она руководствуется порядком, который утвержден постановлением Правительства РФ от 25 ноября 2013 г. № 1062. Реестр размещен в свободном (бесплатном) доступе на официальном сайте www.zakupki.gov.ru.

Алгоритм включения компании в реестр прописан в статье 104 Федерального закона от 5 апреля 2013 г. № 44-ФЗ (далее – Закон о контрактной системе). Процедуру всегда инициирует заказчик. Он направляет соответствующую информацию в ФАС России либо в ее территориальный орган по своему местонахождению.

Следует подчеркнуть, что направление этих сведений – не право, а обязанность заказчика. Если ее не исполнить (или исполнить не вовремя), заказчика могут оштрафовать на 20 тыс. руб. ( ч. 2 ст. 7.31 Кодекса РФ об административных правонарушениях).

2 года – на этот срок сведения об участнике попадают в реестр недобросовестных поставщиков
При направлении информации нужно учесть сроки
В Законе о контрактной системе обозначены три ситуации, в которых поставщик может оказаться в реестре. В зависимости от причины установлен и срок предоставления информации в ФАС России, который должен соблюдать заказчик. Если этот срок нарушен, антимонопольный орган откажется включать компанию в реестр.

1. Победитель уклонился от заключения контракта, но есть второй претендент
Тогда контракт подписывают с участником (при его согласии), заявке или предложению которого присвоен второй номер. При этом заказчик направляет в антимонопольную службу информацию и документы, подтверждающие факт уклонения победителя от заключения контракта. Предоставить такую информацию учреждение должно в течение трех рабочих дней с момента заключения контракта со вторым претендентом.

На заметку

Если второй претендент не согласен на заключение контракта, наступает патовая ситуация: уклониста нельзя включить в реестр
[свернуть]


2. Единственный участник закупки уклонился от заключения контракта
Речь идет о ситуации, когда контракт заключается на основании пунктов 24 или 25 части 1 статьи 93 Закона о контрактной системе.

У заказчика в запасе есть пять рабочих дней, в течение которых он должен направить в ФАС России информацию об уклонении поставщика от сделки. Время отсчитывают с того момента, когда истек указанный в документации о закупке срок подписания контракта.

3. Заказчик расторгает контракт
В данном случае контракт может быть расторгнут по решению суда либо в одностороннем порядке. При первом варианте заказчик направляет в ФАС России соответствующую информацию вместе с копией решения суда. При втором – те же сведения и объяснение причин, по которым контракт расторгнут, в письменной форме. На данную процедуру отведено три рабочих дня с момента расторжения контракта.

ФАС России не включит в реестр участника закупки, если не обнаружит фактов, указывающих на его недобросовестное поведение

Отмечу, что решение суда − безусловное основание для включения информации в реестр без какой-либо проверки.

Как оформить документы при подаче сведений в реестр
Заказчик направляет документы в ФАС России на бумаге либо электронно. При этом необходимо составить сопроводительное письмо, подписанное уполномоченным должностным лицом заказчика. Такое письмо должно содержать перечень прилагаемых документов.

Сведения об учредителях попадут в реестр
Зачастую участники создают для своей работы не одно юридическое лицо, а целую группу организаций. В связи с этим в настоящее время в реестр недобросовестных поставщиков включают также информацию об учредителях и членах исполнительных органов участника закупки ( п. 2 ч. 3 ст. 104 Закона о контрактной системе). Поясню, как это работает. Допустим, в реестр недобросовестных поставщиков были включены сведения о компании, нарушившей обязательства по контракту. В этом случае ее учредители уже не смогут участвовать в закупках под вывеской другого юридического лица. Таким же образом блокируется участие в закупках разных организаций, которыми руководит один и тот же человек.

3 месяца – есть у участника закупки, чтобы обжаловать включение в реестр в судебном порядке. Отсчет – со дня вынесения решения ФАС России

Решение ФАС о внесении в реестр можно обжаловать
Антимонопольная служба проверяет полученную информацию в течение 10 рабочих дней. Поставщик может попытаться доказать свою добросовестность, представив оправдательные документы. Он также имеет право принять участие в рассмотрении дела. Если ФАС России все же сочтет доводы заказчика более убедительными, чиновники включат сведения о компании в реестр недобросовестных поставщиков в течение трех рабочих дней. У поставщика есть возможность обжаловать эти действия. Для этого он подает в арбитражный суд заявление с просьбой признать решение антимонопольного органа недействительным. На практике компаниям зачастую удается доказать, что злонамеренных действий они не совершали. Тогда суд выносит решение об исключении сведений из реестра недобросовестных поставщиков.

Действия заказчика в случае расторжения контракта

Действия заказчика в случае расторжения контракта
Заказчик должен не только передать информацию о недобросовестном поставщике в ФАС России.

Во-первых, он обязан разместить в единой информационной системе сведения о расторжении контракта. На это отводится всего один рабочий день. При этом следует руководствоваться письмом Федерального казначейства от 16 февраля 2015 г. № 07-04-05/12-111.

Во-вторых, в течение трех рабочих дней заказчик направляет сведения о расторжении обязательств в реестр контрактов. Таково требование части 3 статьи 103 Закона о контрактной системе.

Этот реестр ведет Федеральное казначейство.
[свернуть]
__________________
Хотя и сладостен азарт по сразу двум идти дорогам, нельзя одной колодой карт играть и с дьяволом и с богом!
Таинственная Незнакомка вне форума  
Сказали спасибо:
Барсучок* (23.07.2015), Лара Крофт (22.07.2015)
Старый 22.07.2015, 10:24   #54
Азазелька
 
Аватар для Таинственная Незнакомка
 
Регистрация: 30.04.2010
Адрес: на реке Стикс
Возраст: 46
Сообщений: 36,292
Спасибо: 3,983
Отправить сообщение для Таинственная Незнакомка с помощью ICQ
По умолчанию Re: Путеводитель по госзакупкам

Особенности закупок по Закону № 223-ФЗ для бюджетных учреждений

Главное в статье
1. Закон № 223-ФЗ предоставляет заказчику больше свободы при выборе способа закупки, чем Закон о контрактной системе. Однако бюджетное учреждение может использовать нормы Закона № 223-ФЗ лишь в трех случаях
2. При подготовке положения о закупках можно использовать типовые документы, разработанные учредителем
3. Чтобы приобретать товары, работы и услуги у единственного поставщика без проблем, нужно четко прописать условия таких закупок в положении

Иван Сидоров, эксперт журнала «Госзакупки в учреждениях»


Когда можно применять Закон № 223-ФЗ
Как правило, бюджетные учреждения совершают закупки за счет субсидий из бюджетов разных уровней, а также за счет иных средств в соответствии с требованиями Федерального закона от 5 апреля 2013 г. № 44-ФЗ (далее – Закон о контрактной системе). Однако есть случаи, когда можно применить нормы Федерального закона от 18 июля 2011 г. № 223-ФЗ (далее – Закон № 223-ФЗ). Это закупки:
-за счет грантов, полученных безвозмездно и безвозвратно от граждан и юридических лиц;
-за счет средств от приносящей доход деятельности. Исключение – средства, полученные на оказание и оплату медицинской помощи по обязательному медстрахованию;
-в случае если бюджетное учреждение само выступает в качестве исполнителя по контракту. Речь идет о ситуации, когда для исполнения предусмотренных контрактом обязательств учреждению потребовалось привлечь на договорной основе иных лиц. Они будут поставлять необходимые товары, выполнять работы или оказывать услуги.

Однако, чтобы применять Закон № 223-ФЗ, учреждение должно подготовить два важных документа: положение о закупках и план закупок .

Что включить в положение о закупках
Согласно нормам части 2 статьи 2 Закона № 223-ФЗ, положение о закупках – это документ, который регламентирует закупочную деятельность заказчика. В нем нужно отразить:
-требования к закупке (в том числе порядок подготовки и проведения процедур закупки, включая ее способы);
-на каких условиях применяются те или иные способы закупки;
порядок заключения и исполнения договоров;
-иные связанные с обеспечением закупки положения.

Положение о закупках бюджетной организации утверждает орган, наделенный функциями и полномочиями ее учредителя ( п. 6 ч. 3 ст. 2 Закона № 223-ФЗ).

Данный документ и вносимые в него изменения необходимо разместить на сайте zakupki.gov.ru в течение 15 дней со дня утверждения ( ч. 1 ст. 4 Закона № 223-ФЗ). Также учтите, что положение следует опубликовать до начала года, в котором учреждение планирует начать закупки по Закону № 223-ФЗ.

А с начала следующего года для размещения таких документов планируют запустить единую информационную систему.

При подготовке положения о закупках бюджетное учреждение вправе использовать типовые документы, которые разработал учредитель. Например, типовое положение о закупках для федеральных бюджетных учреждений здравоохранения содержится в письме Минздрава России от 10 февраля 2014 г. № 22-5/10/2-855.

Какие способы закупок нужно прописать обязательно
В Законе о контрактной системе все способы закупки и условия их применения строго регламентированы. И главное – четко прописано, когда можно заключить контракт с единственным поставщиком.

А вот Закон № 223-ФЗ заказчика никоим образом не ограничивает – можно выбрать любой способ закупки. Нужно лишь отразить в положении перечень возможных способов, а также указать, когда их разрешено применять и на каких основаниях. Учтите, что в этом документе должны быть прописаны и процедуры проведения конкурсов и аукционов.

Выбрать поставщика можно, например, с помощью следующих процедур закупки:
-закупка у единственного поставщика;
-запрос цен;
-запрос предложений;
-аукцион;
-конкурс.

Как формировать и публиковать план закупок

Важно запомнить!
Принятое бюджетным учреждением решение о совершении закупок по Закону № 223-ФЗ нельзя изменить в текущем году ( п. 3 ст. 15 Закона № 44-ФЗ)


План закупок составляют в соответствии с правилами, утвержденными постановлением Правительства РФ от 17 сентября 2012 г. № 932 (далее – Правила № 932). В него включают сведения о необходимых заказчику закупках товаров (работ, услуг). Закон предписывает составлять и размещать план в единой информационной системе на срок не менее года.

Не всякие закупки необходимо отражать в плане. Например, этого можно не делать, если стоимость товаров (работ, услуг) не превышает 100 тыс. руб. А если годовая выручка заказчика за отчетный финансовый год составила более 5 млрд руб., то в плане можно не отражать сведения о закупке, сумма которой не превышает 500 тыс. руб. (ч. 15 ст. 4 Закона № 223-ФЗ).

Обратите внимание на требования к форме плана закупок . Они содержатся в Правилах № 932. В частности, план должен иметь помесячную или поквартальную разбивку (п. 7 Правил № 932).


Шпаргалка
Проведите закупку по Закону № 223-ФЗ за 9 шагов

Проведите закупку по Закону № 223-ФЗ за 9 шагов
1. Разработайте и разместите на официальном сайте план закупок на срок не менее одного года. Если учреждение планирует приобрести инновационную или высокотехнологичную продукцию либо лекарственные средства, срок будет больше: пять – семь лет.
2. Выберите способ закупки.
3. Разработайте, утвердите и разместите на официальном сайте извещение и документацию о закупке.
4. Если вы внесли изменения в извещение или документацию о закупке, опубликуйте их на официальном сайте.
5. Предоставьте документацию о закупке всем заинтересованным лицам.
6. Если необходимо, разъясните положения документации о закупке. Разъяснения можно опубликовать на официальном сайте.
7. Примите поступившие заявки на участие в закупке.
8. Оцените и сопоставьте заявки.
9. Подпишите договор с победителем закупки.
[свернуть]
__________________
Хотя и сладостен азарт по сразу двум идти дорогам, нельзя одной колодой карт играть и с дьяволом и с богом!
Таинственная Незнакомка вне форума  
Сказали спасибо:
Барсучок* (27.07.2015), Лара Крофт (22.07.2015)
Старый 28.07.2015, 12:12   #55
Азазелька
 
Аватар для Таинственная Незнакомка
 
Регистрация: 30.04.2010
Адрес: на реке Стикс
Возраст: 46
Сообщений: 36,292
Спасибо: 3,983
Отправить сообщение для Таинственная Незнакомка с помощью ICQ
По умолчанию Re: Путеводитель по госзакупкам

Идеальный ежемесячный отчет о закупках
223-ФЗ

О чем пойдет речь: все заказчики, действующие в рамках Закона № 223ФЗ, обязаны ежемесячно публиковать на официальном сайте отчет о закупках. В него нужно включить сведения обо всех процедурах за отчетный месяц. Не забудьте и о мелких закупках стоимостью до 100 тыс. руб. Обо всех важных деталях – в статье.

Оксана БАЛАНДИНА, эксперт журнала «Госзакупки в учреждениях»


Где публиковать информацию
Порядок размещения информации о заключенных договорах установлен разделом VIII Положения, утвержденного постановлением Правительства РФ от 10 сентября 2012 г. № 908.

Сотрудник заказчика, имеющий цифровую подпись, размещает отчетность на сайте www.zakupki.gov.ru. Для этого нужно зайти в личный кабинет, перейти на вкладку «Реестр отчетности по договорам» и создать отчет. После того как этот документ будет сформирован, его необходимо опубликовать.

Какие сведения включить в отчет

10 -е число месяца,следующего за отчетным, – срок размещения отчета о закупках. Например, отчет за август нужно опубликовать не позднее 10 сентября

Обратимся к Федеральному закону от 18 июля 2011 г. № 223ФЗ (далее – Закон № 223ФЗ). Согласно части 19 статьи 4 данного закона, в отчете нужно указать сведения о количестве и об общей стоимости договоров:

1) заключенных по результатам закупок;

2) заключенных по результатам закупки у единственного поставщика (исполнителя, подрядчика);

3) заключенных по результатам закупки, сведения о которой составляют государственную тайну или в отношении которой приняты решения Правительства РФ в соответствии с частью 16 статьи 4 Закона № 223ФЗ;

4) заключенных по результатам закупки у субъектов малого и среднего предпринимательства.

Не исключайте мелкие закупки
Как показывает практика, многие заказчики считают, что не надо отражать в отчете мелкие закупки на основании части 15 статьи 4 Закона № 223ФЗ. Напомню: она гласит, что заказчик может не публиковать сведения о закупке на сумму 100 тыс. руб. или меньше. А если годовая выручка заказчика за отчетный финансовый год составляет более 5 млрд руб., он вправе не размещать сведения о закупке на сумму не более 500 тыс. руб.

Однако указанная трактовка этого положения закона ошибочна. Обратите внимание: статья содержит формулировку «сведения о закупке». Но это не то же самое, что сведения о количестве и об общей стоимости договоров. Поэтому включать мелкие закупки в ежемесячный отчет необходимо.

Отразите закупки, совершенные без заключения договора
Более того, положения Закона № 223ФЗ распространяются и на оплату командировочных расходов, а также на закупки через подотчетных лиц. Их нужно включить в сведения о контрактах, заключенных с единственным поставщиком.

Там же отражают чеки, а также закупки, проведенные без оформления договора.

Данные выводы подтверждаются письмом ФАС России от 22 апреля 2013 г. № АД/16179/13. По мнению чиновников, в ежемесячном отчете должны быть сведения не только о договорах, но и обо всех остальных закупках отчетного периода. Сюда же включаются сведения о договорах, информация о которых не подлежит размещению на официальном сайте www.zakupki.gov.ru.

То есть заказчик должен посчитать и учесть закупки, оформленные любым способом, будь то заключенный договор или процедура без его подписания (включая оплату счета).

Как определить отчетный месяц, если договор не был заключен
Для закупок, договор по которым не был заключен, важно правильно определить месяц, в отчет за который нужно включить сведения.

Важно запомнить!
Договоры включают в отчет согласно дате их заключения, а не исполнения. Если договор заключен в январе 2015 года, а оплата по нему запланирована на декабрь 2015 года, закупку отражают в отчете за январь


В пункте 1 статьи 433 Гражданского кодекса РФ сказано о том, что договор признается заключенным в момент получения лицом, направившим оферту, ее акцепта, то есть согласия. Если договор не был подписан, а товар оплачен по счету, офертой считается счет. А вот акцептом может быть как оплата счета, так и подписание товарной накладной – в зависимости от того, что произошло раньше. Рассмотрим примеры.

Предположим, учреждение закупает мебель для офиса. Поставщик направил заказчику счет в мае. Заказчик оплатил счет в июне. В июле был получен товар и подписана товарная накладная. Данную закупку заказчик включит в отчет за июнь, ведь именно в этом месяце поставщик получил акцепт оферты.

Другой пример. Учреждение закупает мебель. Поставщик направил ему счет в мае. Заказчик получил товар и подписал накладную в июне. В июле учреждение оплатило счет. Такую закупку оно также включит в отчет за июнь: факт того, что учреждение приняло товар, тоже является акцептом оферты.

Напомню, что оба примера приведены для закупок без заключения договора. Если же он был подписан, то закупку надо включить в отчет за месяц, которым датирован договор.


Совет
Если в течение месяца закупки не проводились, все равно подготовьте отчет. Опубликуйте сведения с нулевыми значениями


Как внести изменения в отчетность
Сведения о заключенных договорах заказчик формирует за отчетный месяц. Также функционал официального сайта предусматривает возможность при подготовке отчетности редактировать уже сформированные данные.

При этом создается документ, содержащий сведения о количестве и об общей стоимости договоров, заключенных заказчиком по результатам закупки товаров, работ, услуг. Соответственно, если заказчик вносил информацию о заключаемом договоре к каждой закупке, сайт автоматически посчитает количество и стоимость заключенных договоров.

За нарушение правил накажут

За нарушение правил накажут
Для заказчиков, не предоставивших данные о своих закупках либо не соблюдающих сроки публикации отчетности, предусмотрена административная ответственность. Так, в случае размещения ежемесячного отчета на официальном сайте с опозданием налагается штраф (ч. 4 ст. 7.32.3 КоАП РФ):
– от 2 тыс. до 5 тыс. руб. на должностных лиц;
– от 10 тыс. до 30 тыс. руб. на юридических лиц.

Если же заказчик вовсе не разместит отчет, суммы штрафов значительно возрастут (ч. 5 ст. 7.32.3 КоАП РФ):
– от 30 тыс. до 50 тыс. руб. для должностных лиц;
– от 100 тыс. до 300 тыс. руб. для юридических лиц.

[свернуть]
__________________
Хотя и сладостен азарт по сразу двум идти дорогам, нельзя одной колодой карт играть и с дьяволом и с богом!
Таинственная Незнакомка вне форума  
Сказали спасибо:
Барсучок* (29.07.2015), Лара Крофт (03.08.2015)
Старый 01.08.2015, 10:44   #56
Азазелька
 
Аватар для Таинственная Незнакомка
 
Регистрация: 30.04.2010
Адрес: на реке Стикс
Возраст: 46
Сообщений: 36,292
Спасибо: 3,983
Отправить сообщение для Таинственная Незнакомка с помощью ICQ
По умолчанию Re: Путеводитель по госзакупкам

Особенности закупок по строительству, реконструкции, реставрации и ремонту

Нормативная база
Размещение заказов в сфере строительства находится в зоне повышенного риска.
Закон № 44-ФЗ регулирует отношения в данной сфере. При этом законодательство РФ о размещении заказов также основывается на положениях Гражданского кодекса РФ, Бюджетного кодекса РФ и иных нормативно-правовых актов, регулирующих отношения, связанные с размещением заказов.
Более подробно рассмотрим на схеме 1.

Схема 1. Нормативная база, которая регулирует подрядные торги


Саморегулируемые организации в сфере строительства

На практике заказчики нередко выдвигают в качестве дополнительного требования к подрядчику наличие свидетельства саморегулируемой организации (СРО).

Это может быть свидетельство, дающее право на допуск к определенному виду работ, которые оказывают влияние на безопасность объектов капитального строительства. Либо на разрешение организации работ по строительству. То есть подрядчик получает допуск к торгам, если является участником саморегулируемой организации.

Статус саморегулируемой организации приобретают некоммерческие организации, объединяющие несколько юридических лиц в области изысканий, проектирования и строительства.

В сфере строительства их три вида, они основаны на членстве лиц:
-выполняющих инженерные изыскания;
-осуществляющих подготовку проектной документации;
-осуществляющих строительство.

Обратите внимание! Индивидуальный предприниматель (ИП) или юридическое лицо (ЮЛ), имеющие свидетельство о допуске к работам по организации подготовки проектной документации или организации строительства, вправе выполнять данные работы при условии, что их стоимость не превышает взнос в компенсационный фонд (ст. 55.8 часть 1.1 Градостроительного кодекса РФ).
Рассмотрим в таблице данные суммы.

Действительно, учреждению-заказчику выгодно, чтобы участник закупки имел допуск СРО. Поскольку саморегулируемая организация несет субсидиарную ответственность по обязательствам своих членов. Она компенсирует убытки, которые понесет заказчик по вине подрядчика.

Ведь если участник СРО не выполнит обязательства по заключенному контракту, это может повлечь лишение организации ее статуса. Поэтому она контролирует деятельность каждого члена.

Cхема 2. На какие работы нужен допуск

Саморегулируемая организация выдает допуск:
-к определенному виду работ, которые оказывают влияние на безопасность объектов капитального строительства;
-к работам по подготовке проектной документации;
-к работам по организации строительства.

Как определить НМЦК

В Законе № 44-ФЗ в качестве основного метода обоснования начальной (максимальной) цены контракта на выполнение строительных работ выделен проектно-сметный метод. Цену устанавливают на основании проектной документации, которую составляют в соответствии с методиками и нормативами (государственными элементными сметными нормами) строительных работ.

Важно запомнить! Индексы изменения сметной стоимости строительства, в том числе учитывающие территориальные условия строительства, ежеквартально выпускаются Минстроем России и публикуются в «Вестнике ценообразования и сметного нормирования»

Однако учреждение не всегда обязано использовать данный метод определения цены.

Рассмотрим подробнее на схеме 3.

Схема 3. Методы расчета НМЦК

Проектно-сметный метод
Содержание основных этапов работ на этапе определения цены контракта будет таким.
1. Предпроектная проработка и подготовка к строительству;
2. Разработка и утверждение проектной документации;
3. Направление документации на экспертизу;
4. Корректировка цены контракта на весь период выполнения работ.
При применении проектно-сметного метода используются:
-проектная документация (включающая сметную стоимость работ), разработанная и утвержденная в соответствии с законодательством РФ;
-сведения о ценах, которые рассчитываются с использованием индексов-дефляторов по видам экономической деятельности, определяемых Минэкономразвития России в рамках разработки прогноза социально-экономического развития РФ.
Заказчик должен определить индекс пересчета текущей цены для определения цены заключаемого контракта на весь период выполнения работ. Это делают на основании графика строительных работ и с учетом объемов работ.

Если закупка финансируется с привлечением средств федерального бюджета, то в обязательном порядке проводят проверку достоверности определения сметной стоимости объектов капитального строительства. Порядок проведения утвержден постановлением Правительства РФ от 18 мая 2009 г. № 427.

Проверка сметной стоимости может осуществляться:
-одновременно с проведением государственной экспертизы проектной документации и результатов инженерных изысканий;
-после проведения такой экспертизы (если орган, который проводил указанную экспертизу, и орган, уполномоченный на проведение проверки сметной стоимости, не совпадают);
-без проведения государственной экспертизы (если подготовка проектной документации и ее государственная экспертиза не являются обязательными).
При определении НМЦК на строительство и (или) реконструкцию объектов капитального строительства с использованием средств федерального бюджета, предусмотренных в рамках федеральной адресной инвестиционной программы, рекомендуется устанавливать размер НМЦК в соответствии с объемом капитальных вложений на реализацию инвестиционного проекта, предусмотренного соответствующим нормативным правовым актом Правительства Российской Федерации, либо решением главного распорядителя бюджетных средств.

Закон № 44-ФЗ требует определять НМЦК на выполнение строительных работ на весь срок их осуществления. Однако исключения все-таки есть (схема 4).

Схема 4. Случаи изменения цен по соглашению сторон

После выполнения работ по контракту составляют:
-акт выполненных работ КС-2 – документ, без которого обязанности по договору подряда не могут быть закрытыми. В данной форме указывают реквизиты сторон и смету (часть) с фактически выполненными объемами;
-справку КС-3 – форма, в которой указывают стоимость выполненных работ, на основании которых и происходит перечисление денежных средств от заказчика подрядчику.

Способы закупок

Преимущественным способом по Закону № 44-ФЗ является конкурс: открытый, с ограниченным участием, двухэтапный. В частности, необходимо проводить аукцион в случаях, установленных распоряжением Правительства РФ от 31 октября 2013 г. № 2019-р. Данный документ содержит перечень, в который включены работы по строительству, реконструкции, капитальному ремонту с кодом 45 (кроме кода 45.12) по общероссийскому классификатору продукции по видам экономической деятельности ОК 034-2007. Исключение составляют работы по строительству, реконструкции, капитальному ремонту:
-особо опасных, технически сложных объектов капитального строительства;
-искусственных дорожных сооружений, включенных в состав автомобильных дорог федерального, регионального или межмуниципального, местного значения;
-работы, начальная (максимальная) цена контракта которых при -осуществлении закупок для обеспечения государственных нужд превышает 150 млн руб, для обеспечения муниципальных нужд – 50 млн руб.
А запрос котировок проводится при НМЦК не свыше 500 тыс. руб., не более 10% от совокупного годового объема закупок заказчика и не должен составлять более чем 100 млн руб. (ч. 2 ст. 72 Закона № 44-ФЗ). Способ закупки у единственного поставщика может быть выбран в случаях, установленных статьей 93 Закона № 44-ФЗ. Ограничения для запроса предложений содержатся в части 2 статьи 83 Закона № 44-ФЗ.

Важно запомнить! Обеспечение энергетической эффективности при размещении заказов.
В соответствии со статьей 26 Закона № 261-ФЗ государственные или муниципальные заказчики, органы, уполномоченные на осуществление функций по размещению заказов, обязаны размещать заказы на поставки товаров, выполнение работ, оказание услуг для государственных или муниципальных нужд в соответствии с требованиями энергетической эффективности этих товаров, работ, услуг.


Архитектурно-строительное проектирование

Архитектурно-строительное проектирование осуществляется путем подготовки проектной документации применительно к объектам капитального строительства и их частям, строящимся, реконструируемым в границах принадлежащего застройщику или иному правообладателю.
Способы закупки на работы по проектированию:
-двухэтапный конкурс;
-открытый конкурс;
-единственный поставщик;
-запрос котировок;
-электронный аукцион;
-запрос предложений.
Дополнительные требования к участникам при проведении конкурентных способов закупки не предъявляют (постановление Правительства РФ от 4 февраля 2015 г. № 99).

Капитальный и текущий ремонт, строительство и реконструкция
При выборе способа необходимо учесть некоторые особенности. В частности, в некоторых случаях заказчик вправе установить дополнительные требования к участникам торгов (постановление Правительства РФ № 99).

Рассмотрим подробнее на двух схемах закупку капитального и текущего ремонта, строительства и реконструкции (5 и 5.1).

Схема 5. Не особо опасные и технически не сложные объекты

Схема 5.1. Особо опасные и технически сложные объекты, а также отнесенные к искусственным дорожным сооружениям, которые включены в состав автомобильных дорог федерального, регионального, межмуниципального и местного значения

Работы по сохранению объектов культурного наследия

Такие работы проводят на основании письменного разрешения и задания, которые выдает соответствующий орган охраны объектов культурного наследия. Работы по сохранению объекта культурного наследия проводятся в соответствии с реставрационными нормами и правилами. Строительные нормы можно применять только в случаях, не противоречащих интересам сохранения данного объекта.
Способы выбора подрядчика, в данном случае это:
-конкурс с ограниченным участием;
-единственный поставщик;
-запрос котировок;
-электронный аукцион;
-запрос предложений.

Дополнительные требования предъявляют при проведении (постановление Правительства РФ № 99):
-электронного аукциона;
-конкурса с ограниченным участием.

Сложные вопросы, связанные с закупкой по строительству и ремонту

Разработка рабочей документации, которая обеспечивает безопасность объекта, не является самостоятельной стадией архитектурно-строительного проектирования, в связи с чем определение термина «рабочая документация» Градостроительным кодексом РФ не предусмотрено (письмо Госстроя от 13 мая 2013 г. № 3991-БМ/11/ГС).

Объединение в один объект закупки работ по разработке рабочей документации и работ по организации строительства

Рабочая документация разрабатывается только на основе и в развитии проектной документации. Подрядчик вправе выполнять работы по подготовке проектной документации и на ее основе – рабочей документации, которые оказывают влияние на безопасность объектов капитального строительства только при наличии выданного саморегулируемой организацией свидетельства о допуске к работам по организации подготовки проектной документации.

Осуществление заказчиком закупки работ по разработке рабочей документации, строительству, реконструкции, поставке оборудования и материалов единым лотом не гарантирует оптимальную стоимость каждого отдельно взятого этапа.

При отсутствии рабочей документации описание объекта закупки не может носить объективный характер, не могут быть в полной мере указаны функциональные, технические и качественные характеристики объекта закупки.

Объединение в один лот работ по разработке рабочей документации, а также работ по организации строительства или реконструкции влечет ограничение количества участников закупки. Рассмотрим, с кем необходимо заключить контракт (схема 6).

Схема 6. С кем заключают контракт

Важно запомнить! На основании вышеизложенного, неправомерно объедение в один объект закупки работ по разработке рабочей документации и работ по организации строительства, такое объединение не соответствует пункту 1 части 1 статьи 33 Закона №44-ФЗ о контрактной системе.

Перераспределение стоимости отдельных статей сметного расчета

В соответствии с частью 1 статьи 95 Закона № 44-ФЗ изменять существенные условия контракта при его исполнении нельзя. Исключения составляют случаи изменения условий по соглашению сторон, в случае если данная возможность была предусмотрена контрактом и документацией о закупке. Так, допустимо:
-снизить цену контракта без изменения количества товара, объема работы или услуги, качества поставляемого товара, выполняемой работы, оказываемой услуги и иных условий контракта;
-увеличить (снизить) количество товара, объем работы или услуги не более чем на 10 процентов (по предложению заказчика);
-изменить цену контракта пропорционально дополнительному количеству товара, дополнительному объему работы или услуги исходя из установленной в контракте цены единицы товара, работы или услуги, но не более чем на 10 процентов цены контракта (по соглашению сторон).
При этом указанные изменения распространяются только на товары, работы, услуги, предусмотренные контрактом.

Важно запомнить! Заказчик вправе предусмотреть в документации о закупке и контракте возможность перераспределения стоимости отдельных статей сметного расчета и корректировку стоимости отдельных конструктивных элементов при расчете за выполненные работы в пределах установленной при определении поставщика (подрядчика, исполнителя) цены контракта.
Такого же мнения придерживается и Минэкономразвития России в письме от 22 января 2015 г. № Д28и-101.

Требование лицензии на проведение работ по монтажу, ремонту и обслуживанию средств обеспечения пожарной безопасности

На практике нередко встречаются случаи, когда предметом контракта является выполнение комплекса различных строительных и ремонтных работ. В такие работы могут быть включены монтаж или ремонт пожарной сигнализации и иных средств обеспечения пожарной безопасности.

Тогда в документации о торгах на выполнение такого комплекса строительных работ заказчики устанавливают требование о том, что участник закупки должен иметь разрешение (лицензию) на проведение работ по монтажу, ремонту и обслуживанию средств обеспечения пожарной безопасности зданий и сооружений.

Предъявление указанного требования к участникам закупки лишает возможности принимать участие в торгах генеральных подрядчиков, которые руководят и контролируют процесс всего комплекса строительных работ.

В Гражданском кодексе РФ сказано, что лицо, осуществляющее строительство, должно иметь свидетельство СРО о допуске к работам по организации строительства. В случае если в один лот с работами по строительству включены иные работы, для выполнения которых требуется соответствующая лицензия, они могут проводиться иными лицами (субподрядчиками), которые обладают данной лицензией.

Устанавливать требование о том, что работы по монтажу, ремонту и обслуживанию средств обеспечения пожарной безопасности зданий и сооружений должны выполняться непосредственно лицом, осуществляющим строительство, а также о наличии у него указанной заказчиком лицензии неправомерно. Оно нарушает положения части 6 статьи 31 Закона № 44-ФЗ.
__________________
Хотя и сладостен азарт по сразу двум идти дорогам, нельзя одной колодой карт играть и с дьяволом и с богом!
Таинственная Незнакомка вне форума  
Сказали спасибо:
Барсучок* (01.08.2015), Лара Крофт (03.08.2015)
Старый 04.08.2015, 18:05   #57
Азазелька
 
Аватар для Таинственная Незнакомка
 
Регистрация: 30.04.2010
Адрес: на реке Стикс
Возраст: 46
Сообщений: 36,292
Спасибо: 3,983
Отправить сообщение для Таинственная Незнакомка с помощью ICQ
По умолчанию Re: Путеводитель по госзакупкам

Требования к участникам закупок по Закону № 44-ФЗ
__________________
Хотя и сладостен азарт по сразу двум идти дорогам, нельзя одной колодой карт играть и с дьяволом и с богом!
Таинственная Незнакомка вне форума  
Сказали спасибо:
Барсучок* (05.08.2015), Власа (20.02.2016), Джокер (07.08.2015), Лара Крофт (04.08.2015)
Старый 06.08.2015, 09:46   #58
Азазелька
 
Аватар для Таинственная Незнакомка
 
Регистрация: 30.04.2010
Адрес: на реке Стикс
Возраст: 46
Сообщений: 36,292
Спасибо: 3,983
Отправить сообщение для Таинственная Незнакомка с помощью ICQ
По умолчанию Re: Путеводитель по госзакупкам

Преимущества и недостатки разных способов определения поставщика (подрядчика, исполнителя)
__________________
Хотя и сладостен азарт по сразу двум идти дорогам, нельзя одной колодой карт играть и с дьяволом и с богом!
Таинственная Незнакомка вне форума  
Сказали спасибо:
Барсучок* (06.08.2015), Власа (20.02.2016), Лара Крофт (06.08.2015)

Старый 09.08.2015, 19:25   #59
Азазелька
 
Аватар для Таинственная Незнакомка
 
Регистрация: 30.04.2010
Адрес: на реке Стикс
Возраст: 46
Сообщений: 36,292
Спасибо: 3,983
Отправить сообщение для Таинственная Незнакомка с помощью ICQ
По умолчанию Re: Путеводитель по госзакупкам

Закупки через подотчетных лиц. О чем следует помнить

Даже если «подотчетники» приобретают товары на небольшие суммы, эти закупки нельзя совершить в обход Закона о контрактной системе. Но оформить их гораздо проще, надо лишь знать ряд важных нюансов…

Александр БУРКОВ, ведущий аналитик Института управления закупками и продажами им. А. Б. Соловьева ГУ-ВШЭ

Закупки через подотчет
Бюджетные учреждения как заказчики имеют право выдавать своим сотрудникам деньги под отчет для производственных нужд. Их не ограничивает Федеральный закон от 5 апреля 2013 г. № 44-ФЗ «О контрактной системе в сфере закупок товаров, работ, услуг для обеспечения государственных и муниципальных нужд» (далее – Закон о контрактной системе). Однако надо учесть следующее.

От имени юридического лица могут выступать не только его органы в соответствии с законом, иными правовыми актами и учредительными документами (ст. 53 Гражданского кодекса РФ), но и его представители. Это лица, действующие на основании выданной им доверенности или полномочия которых следуют из обстановки (п. 1 ст. 182, п. 1 ст. 185 Гражданского кодекса РФ). Действия представителя (подотчетного лица) непосредственно создают, изменяют и прекращают гражданские права и обязанности представляемого учреждения (п. 1 ст. 182 Гражданского кодекса РФ).

Поскольку подотчетное лицо, закупая товары (работы, услуги) по поручению учреждения, действует от его имени и в его интересах, то оно выступает в качестве уполномоченного представителя учреждения. Поэтому приобретение им за наличные деньги товаров (работ, услуг) от имени заказчика квалифицируют как закупку, которая должна совершаться в соответствии с правилами Закона о контрактной системе.

Исходя из сказанного, можно сделать вывод, что если на суммы, выданные подотчетным лицам, закупают товары (работы, услуги) для обеспечения государственных (муниципальных) нужд или нужд учреждений, то такие отношения регулируются положениями Закона о контрактной системе и указанные средства должны быть учтены в плане-графике размещения заказов в 2015 году (письмо Минэкономразвития России от 28 марта 2014 г. № Д28и-385).

«Мелкие» закупки
Вступивший в силу Федеральный закон от 4 июня 2014 г. № 140-ФЗ внес в числе прочих чрезвычайно важное изменение в контрактное законодательство. Оно касается порядка проведения «мелких» закупок.

Собственно, никакой процедуры при такой закупке не происходит, поскольку по соображениям экономической эффективности законодатель освободил контрактного управляющего от излишней заорганизованности и бюрократической волокиты. Что, к сожалению, имело место в первоначальной версии Закона о контрактной системе.

Рассмотрим подробнее, чего при закупке малого объема делать не надо.

Не требуется составлять отчет с обоснованием невозможности или нецелесообразности использования иных способов закупки, начальной цены и иных существенных условий контракта. Случаи оформления этого отчета регламентированы частью 3 статьи 93 Закона о контрактной системе.

Не нужно размещать на сайте извещение о закупке. Но при некоторых закупках у единственного поставщика его все же надо опубликовать – не позднее чем за пять дней до даты заключения контракта (ч. 2 ст. 93 Закона о контрактной системе).

Кроме того, нет необходимости устанавливать обеспечение исполнения контракта. Ведь заказчик обязан это делать только в ситуациях, предусмотренных частью 1 статьи 96 Закона о контрактной системе.

Сведения о такой закупке не включают в реестр контрактов (ст. 103 Закона о контрактной системе). Отчет об исполнении контракта (ч. 9 ст. 94 Закона о контрактной системе) по форме, определенной постановлением Правительства РФ от 28 ноября 2013 г. № 1093, тоже не составляют.

При закупке небольшого объема заказчик может отступать от требований статьи 34 Закона о контрактной системе.

Требования к закупке
Информацию о закупках, которые планируется совершать в соответствии с пунктами 4, 5 части 1 статьи 93 Закона о контрактной системе, указывают в плане-графике одной строкой по каждому коду бюджетной классификации в размере совокупного годового объема денежных средств по закупкам товаров, работ, услуг, не превышающих 100 тыс. руб. и не превышающих 400 тыс. руб. При этом расчет допустимого объема «мелких» закупок на период до конца 2015 года производится без учета плана-графика.

Предельный размер расчетов наличными для учреждений – 100 тыс. руб.
Заказчик должен корректно определить свой общий совокупный годовой объем закупок, то есть утвержденный на соответствующий финансовый год общий объем финансового обеспечения для осуществления закупок, в том числе для оплаты контрактов, заключенных до начала указанного финансового года и подлежащих оплате в указанном финансовом году.

До 2016 года такой расчет делают исходя из бюджетной сметы или плана финансово-хозяйственной деятельности заказчика. До следующего года эти понятия не связаны с планом-графиком.

Для закупок товаров, работ, услуг на сумму, не превышающую 100 тыс. руб., заказчику надо выбрать схему расчета объема «мелких» закупок: или общее количество таких закупок не должно превышать 2 млн руб. в год, или нужно ориентироваться на 5 процентов совокупного годового объема закупок.

Первый вариант подойдет заказчику с небольшими объемами закупок, второй – заказчику с крупными объемами. При проведении закупок в соответствии с пунктами 4, 5 части 1 статьи 93 Закона о контрактной системе надо помнить, что сумму таких закупок не учитывают при вычислении минимального объема закупок, которые заказчик обязан проводить с ограничением для субъектов малого предпринимательства и социально ориентированных некоммерческих организаций.

Как внести закупку в план-график
В совместном приказе Минэкономразвития России и Федерального казначейства от 20 сентября 2013 г. № 544/18н об особенностях размещения информации в плане-графике, который был утвержден по Закону о контрактной системе, сказано, что закупки за наличный расчет через подотчетных лиц отражаются одним списком по одной строке в общем объеме закупок у единственного поставщика до 100 тыс. руб.

При этом такие закупки, как правило, оформляют с помощью авансовых отчетов . Отметим, что эта практика регламентирована не Законом о контрактной системе, а правилами ведения бухгалтерского учета.

Бухгалтер учреждения оплатил подписку на профессиональный журнал через сайт (собственной картой). Оформил авансовый отчет, приложил распечатки, подтверждающие оплату. Так как журнал нужен в работе, руководство подписало авансовый отчет и сотруднику вернули деньги из кассы. Правомерны ли такие действия?

Бухгалтер учреждения оплатил подписку на профессиональный журнал через сайт (собственной картой). Оформил авансовый отчет, приложил распечатки, подтверждающие оплату. Так как журнал нужен в работе, руководство подписало авансовый отчет и сотруднику вернули деньги из кассы. Правомерны ли такие действия?

Да, так поступить можно.
Но только если в плане финансово-хозяйственной деятельности прописаны расходы по подстатье 226 КОСГУ в достаточной сумме. Примененный порядок оформления также соответствует нормам.
Напомню, что заявление на возмещение сумм подотчетное лицо составляет в произвольной форме. Главное, чтобы оно содержало данные о сумме наличных денег, подлежащей выдаче под отчет, и о сроке, на который она выдается.
Кроме того, все расходы должны быть подтверждены документально.
[свернуть]


Возможные сложности
Важно запомнить!
Сведения о «мелких» закупках надо указать в плане-графике.

Если заказчиком выступает образовательное учреждение или учреждение культуры, сумма неконкурентной закупки может составлять до 400 тыс. руб. (общий объем таких закупок – до 50% совокупного годового объема, но на общую сумму не свыше 20 млн руб.). К сожалению, до сих пор нет однозначной трактовки возможности для заказчика использовать одновременно и пункт 4, и пункт 5 части 1 статьи 93 Закона о контрактной системе (на практике многие заказчики этим пользуются). При применении пункта 5 следует помнить о том, что предельный размер расчетов наличными деньгами установлен Указанием Банка России от 7 октября 2013 г. № 3073-У. Для юридических лиц и индивидуальных предпринимателей он составляет 100 тыс. руб.

Кроме необходимости исполнения общих норм бухучета и финансовой дисциплины, других требований для оформления закупок малого объема Закон о контрактной системе не предъявляет.
__________________
Хотя и сладостен азарт по сразу двум идти дорогам, нельзя одной колодой карт играть и с дьяволом и с богом!
Таинственная Незнакомка вне форума  
Сказали спасибо:
Барсучок* (10.08.2015), Лара Крофт (12.08.2015)
Старый 17.02.2016, 21:27   #60
Азазелька
 
Аватар для Таинственная Незнакомка
 
Регистрация: 30.04.2010
Адрес: на реке Стикс
Возраст: 46
Сообщений: 36,292
Спасибо: 3,983
Отправить сообщение для Таинственная Незнакомка с помощью ICQ
По умолчанию Re: Путеводитель по госзакупкам

Перечень нормативных актов, регулирующих порядок проведения закупок
__________________
Хотя и сладостен азарт по сразу двум идти дорогам, нельзя одной колодой карт играть и с дьяволом и с богом!
Таинственная Незнакомка вне форума  
Сказали спасибо:
Власа (20.02.2016)
Закрытая тема



« Предыдущая тема | Следующая тема »

Ваши права в разделе
Вы не можете создавать новые темы
Вы не можете отвечать в темах
Вы не можете прикреплять вложения
Вы не можете редактировать свои сообщения

BB коды Вкл.
Смайлы Вкл.
[IMG] код Вкл.
HTML код Выкл.

Быстрый переход


Полезности: Что лучше: ООО или ИП? калькулятор НДС Книги по бухгалтерскому учету Иностранец в России: на что стоит обратить внимание при трудоустройстве
Какие понятия и определения используются в спорах о взыскании неосновательного обогащения в коттеджных поселках

Текущее время: 14:35. Часовой пояс GMT +3.


Реклама на форуме Главбух.ру

Правила форума


Goon Каталог сайтов
Powered by vBulletin® Version 3.8.4
Copyright ©2000 - 2026, Jelsoft Enterprises Ltd. Перевод: zCarot