Главбух - форум бухгалтеров, бухгалтерский форум про налоговый учет ОСНО, УСНО, ЕНВД, форум 1С.


Вернуться   Главбух форум бухгалтеров, бухгалтерский форум Главбух по налогам, учету, 1С. > Налогообложение и бухгалтерский учет > Зарплата и кадры


Ответ
 
Опции темы Поиск в этой теме Опции просмотра
Старый 18.11.2009, 18:08   #1
статус: старший бухгалтер
 
Регистрация: 10.07.2008
Сообщений: 225
Спасибо: 0
По умолчанию как отразить аванс и ЗП в Т-51?

сотрудница в дикрет ушла, готовлю доки для фсс, появились сомнения..правильно ли я расчетную ведомость Т-51 составлял, ЗиК нет, так что все вручную на бланках... Подскажите,в какой графе отражать выплаченную ЗП за предидущий месяц (у нас аванс 15, а ЗП с 1-3 след. мес)? если ставлю в 16 (зад. за орг), то получается, что к выплате больше, чем начислено...запутался...может этой выплаты вообще не должно быть в т-51?
Ririll вне форума   Ответить с цитированием
Старый 18.11.2009, 18:41   #2
статус: старший бухгалтер
 
Регистрация: 10.07.2008
Сообщений: 225
Спасибо: 0
По умолчанию Ответ: как отразить аванс и ЗП в Т-51?

и может кто по графам сможет рассказать, как они заполняются, в частности 16 и 18?
Ririll вне форума   Ответить с цитированием
Старый 26.11.2009, 01:04   #3
статус: ведущий бухгалтер
 
Аватар для griffith
 
Регистрация: 26.09.2009
Сообщений: 434
Спасибо: 0
По умолчанию Ответ: как отразить аванс и ЗП в Т-51?

графа 16 - Сумма задолженности за организацией. заполняете ее если по итогам месяца вы по каким-то причинам не выплатили ЗП или ее часть отруднику.

графа 18 - Сумма к выплате. - это фактическая сумма, которую сотрудник получит за этот месяц от организации, расчитывается как Сумма начисленных - Сумма удержанных (Оклад+премия+отпускные+ночные+ сверхурочные+праздничные+командировочные+больничны е+другие начисления - НДФЛ - различные удержания)
__________________
учиться, учиться, учиться
griffith вне форума   Ответить с цитированием
2020
Glavbyh.ru
Старый 26.11.2009, 01:24   #4
статус: ведущий бухгалтер
 
Аватар для griffith
 
Регистрация: 26.09.2009
Сообщений: 434
Спасибо: 0
По умолчанию Ответ: как отразить аванс и ЗП в Т-51?

Цитата:
Сообщение от Ririll Посмотреть сообщение
в какой графе отражать выплаченную ЗП за предидущий месяц (у нас аванс 15, а ЗП с 1-3 след. мес)?
следует различать выплату ЗП от ее начисления.
например, Вы составляете ведомость Т-51 за октябрь 2009 года, т.е. Вы в этой ведомости будете расписывать НАЧИСЛЕНИЕ ЗП за октябрь(только за октябрь)
"Отчетный период" у Вас будет с 01.10.2009 по 31.10.2009
а "Дата составления" у Вас должна быть не позже фактической выплаты ЗП и не раньше последнего рабочего дня октября, т.е. с 31.10.2009 по 03.11.2009г. - на Ваше усмотрение.

Если Вы ЗП платите в ноябре за октябрь, то эту сумму вы должны вносить в ведомость за октябрь, а не за ноябрь.
__________________
учиться, учиться, учиться
griffith вне форума   Ответить с цитированием
Старый 27.11.2009, 17:09   #5
статус: старший бухгалтер
 
Регистрация: 10.07.2008
Сообщений: 225
Спасибо: 0
По умолчанию Ответ: как отразить аванс и ЗП в Т-51?

спасибо огромное за разъяснение, вы даже меня на новый вопрос натолкнули: за июль мес. выплатил зар. плату не 31.07- посл. день мес, а 30.07- предпоследний...это я накосячил, нельзя было? выплата то прошла 30.07, а начисление 31.07. может даты какие поменять? или это вообще зар. платой называть нельзя было?
Ririll вне форума   Ответить с цитированием
Старый 27.11.2009, 22:29   #6
статус: ведущий бухгалтер
 
Аватар для griffith
 
Регистрация: 26.09.2009
Сообщений: 434
Спасибо: 0
По умолчанию Ответ: как отразить аванс и ЗП в Т-51?

Цитата:
Сообщение от Ririll Посмотреть сообщение
за июль мес. выплатил зар. плату не 31.07- посл. день мес, а 30.07- предпоследний...это я накосячил, нельзя было? выплата то прошла 30.07, а начисление 31.07. может даты какие поменять? или это вообще зар. платой называть нельзя было?
Если сотрудник получает деньги за работу, то это заработная плата.
Срок, когда заработная плата выплачивается работнику устанавливается фирмой самостоятельно, это должно быть прописано в положении об оплате труда фирмы, а так же в трудовых договорах. Обычно там пишут, что ЗП и аванс выплачиваются НЕ ПОЗДНЕЕ каких-то чисел.

Мое мнение такое, что если 31.07 все работники вышли на работу и отработали этот день именно так, как вы расчитывали и выплатили им ЗП 30.07, то ничего страшного нет.

В этой ситуации нет ущемленных лиц.
1. Бюджет и фонды получили отчисления (Вы же их 30.07 вместе с ЗП перечислили?)
2. Сотрудники получили ЗП не позднее оговоренных сроков (они даже рады)
главное выплачивать деньги сотрудникам два раза в месяц - примерно через каждые две недели.

На крайний случай можно организовать какую-нибудь бумажку (например от 20.07), что мол лицо, ответственное за выплату ЗП 31.07 будет занято другими делами, в связи с эти решено в июле произвести выплаты основной части ЗП, НДФЛ, отчисления в фонды днем ранее, т.е. 30.07.

На мой взгляд, это лишнее. ничего накозуемого я в этой ситуации не вижу.

Цитата:
Сообщение от Ririll Посмотреть сообщение
спасибо огромное
пожалуйста, рад помочь
__________________
учиться, учиться, учиться

Последний раз редактировалось griffith; 27.11.2009 в 22:31.
griffith вне форума   Ответить с цитированием
Старый 28.11.2009, 11:40   #7
статус: старший бухгалтер
 
Регистрация: 10.07.2008
Сообщений: 225
Спасибо: 0
По умолчанию Ответ: как отразить аванс и ЗП в Т-51?

конечно, налоги в бюджет в один день с ЗП, бумажку организовал типа распоряжения, очень помогли!!!
Ririll вне форума   Ответить с цитированием
Старый 28.11.2009, 13:21   #8
статус: ведущий бухгалтер
 
Аватар для griffith
 
Регистрация: 26.09.2009
Сообщений: 434
Спасибо: 0
По умолчанию Ответ: как отразить аванс и ЗП в Т-51?

обращайтесь если что
__________________
учиться, учиться, учиться
griffith вне форума   Ответить с цитированием
2020
Glavbyh.ru
Старый 19.03.2010, 16:15   #9
статус: главный бухгалтер
 
Аватар для Марго 82
 
Регистрация: 13.03.2009
Сообщений: 1,054
Спасибо: 0
По умолчанию Re: как отразить аванс и ЗП в Т-51?

можно еще раз объяснить по поводу 16 строки

я там должна ставить сумму, которая у меня получилась:

начислено-НДФЛ-аванс

получается задолженность за орг.
и если у меня нет зад-ти за сотрудником, то тогда я получаю такую же сумму к выплате

я правильно понимаю?
__________________
Марго 82 вне форума   Ответить с цитированием
Старый 19.03.2010, 16:57   #10
статус: ведущий бухгалтер
 
Аватар для griffith
 
Регистрация: 26.09.2009
Сообщений: 434
Спасибо: 0
По умолчанию Re: как отразить аванс и ЗП в Т-51?

Цитата:
Сообщение от Марго 82 Посмотреть сообщение
я там должна ставить сумму, которая у меня получилась:
начислено-НДФЛ-аванс
надо писать сумму, которую сотрудник должен был получить, но не получил.

Цитата:
Сообщение от Марго 82 Посмотреть сообщение
получается задолженность за орг.
и если у меня нет зад-ти за сотрудником, то тогда я получаю такую же сумму к выплате

я правильно понимаю?
по вашей версии получается, что сумма к выплате не будет содержать сумму аванса.
Сумма к выплате - это сумма которую человек получит в руки всего по итогам месяца.
__________________
учиться, учиться, учиться
griffith вне форума   Ответить с цитированием
Старый 02.03.2017, 05:08   #11
статус: начинающий бухгалтер
 
Регистрация: 01.03.2017
Сообщений: 12
Спасибо: 0
По умолчанию Re: как отразить аванс и ЗП в Т-51?

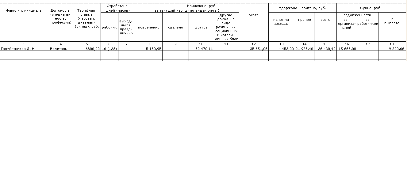
Здравствуйте, не могу понять почему идет задолженность у организации когда по расчетному листку все выплачено
Миниатюры
Нажмите на изображение для увеличения
Название: 1с.png
Просмотров: 886
Размер:	51.2 Кб
ID:	23887   Нажмите на изображение для увеличения
Название: 1с2.png
Просмотров: 882
Размер:	55.5 Кб
ID:	23888   Нажмите на изображение для увеличения
Название: 1с3.png
Просмотров: 894
Размер:	27.0 Кб
ID:	23889  

yyyuuu вне форума   Ответить с цитированием
Ответ



« Предыдущая тема | Следующая тема »

Ваши права в разделе
Вы не можете создавать новые темы
Вы не можете отвечать в темах
Вы не можете прикреплять вложения
Вы не можете редактировать свои сообщения

BB коды Вкл.
Смайлы Вкл.
[IMG] код Вкл.
HTML код Выкл.

Быстрый переход

Похожие темы
Тема Автор Раздел Ответов Последнее сообщение
Аванс полученный - как отразить thisisme Специальные режимы налогообложения (УСНО, ЕНВД) 11 31.03.2009 17:58
Демередж - как отразить в БУ Компас Общая система налогообложения (ОСНО) 1 30.03.2009 17:32
Как отразить в 1С??? Худякова Зарплата и кадры 1 17.09.2008 16:43
Как отразить в программе 1С Елена+ Учет в НКО 5 30.07.2007 16:02
Как отразить скидки в БУ Экономист Общая система налогообложения (ОСНО) 2 13.12.2006 09:47


Полезности: Что лучше: ООО или ИП? калькулятор НДС Книги по бухгалтерскому учету Иностранец в России: на что стоит обратить внимание при трудоустройстве
Какие понятия и определения используются в спорах о взыскании неосновательного обогащения в коттеджных поселках

Текущее время: 19:15. Часовой пояс GMT +3.


Реклама на форуме Главбух.ру

Правила форума


Goon Каталог сайтов
Powered by vBulletin® Version 3.8.4
Copyright ©2000 - 2026, Jelsoft Enterprises Ltd. Перевод: zCarot